M.R., "Lampa w stopniu końcowym wzmacniacza"
Radioamator 1953/08
Największy kłopot sprawia zwykle radioamatorowi budującemu sobie wzmacniacz gramofonowy lub aparat odbiorczy, właściwe dopasowanie posiadanego głośnika do końcowej lampy, która pracuje jako lampa głośnikowa. Wynika to z listów nadchodzących do redakcji Radioamatora, w których najczęściej spotykane pytania są tego rodzaju: posiadam lampę typu np. P.X.25 (zwykle jest to typ lampy przestarzały). Mam zamiar zastosować ją jako lampę głośnikową. Jaką otrzymam z niej moc akustyczną i jak dobrać transformator wyjściowy aby dopasować do niej głośnik dynamiczny posiadający cewkę drgającą o oporze 5 omów? Albo inne pytanie. Czy transformator o przekładni 40:1 jest odpowiedni dla lampy CL4? itp. Na te i podobne pytania można generalnie odpowiedzieć, zapoznając czytelników z elementarną teorią lampy, pracującej w stopniu mocy.
Zadanie jakie lampa końcowa ma do spełnienia w aparacie radiowym jest innego rodzaju niż zadanie lamp pracujących w stopniach poprzednich. Omówiliśmy pracę lampy w układach wzmacniających, w których najważniejszym zadaniem lampy było osiągnięcie możliwie największego wzmocnienia napięciowego. Moc lampy była nieistotna. Inaczej wygląda jednak zagadnienie w przypadku lampy końcowej. Tutaj na odwrót, stopień wzmocnienia napięciowego układu końcowego jest rzeczą nieistotną, natomiast na pierwszy plan wysuwa się zagadnienie właśnie mocy lampy, a w szczególności mocy użytecznej (akustycznej), jaką możemy przy pełnym wysterowaniu lampy otrzymać w głośniku załączonym do lampy.
Moc lampy
Mówiąc o mocy lampy musimy odróżnić dwie moce w odniesieniu do lampy, mianowicie moc admisyjną lampy i moc użyteczną lampy. Co to jest moc admisyjna lampy albo innymi słowy moc dopuszczalna lampy?
Wiemy, że w stanie spoczynku czyli w chwilach, kiedy lampa nie jest sterowana zmiennym napięciem siatkowym, płynie przez lampę prąd stały. Ta stała składowa prądu anodowego zależna jest od przedpięcia siatki i od napięcia anodowego. Prądu anodowego płynącego przez lampę dostarcza bateria anodowa albo też prostownik sieciowy. Jeżeli oznaczymy prąd anodowy stały płynący przez lampę przez Iao, a napięcia stałe anodowe przez Uao, to iloczyn Uao.Iao jest mocą, jaką lampa pobiera ze źródła anodowego. Moc ta całkowicie zamienia się na ciepło w lampie. Pod wpływem tego ciepła nagrzewa się anoda lampy. Moc tracona na ciepło w lampie nie może przekroczyć pewnej określonej wartości dla danego typu lampy, jeżeli nie chcemy uszkodzić lampy. Ta maksymalna moc, jaką anoda lampy może bez szkody dla lampy przerobić na ciepło, nazywa się właśnie mocą admisyjną czyli mocą dopuszczalną. Jest ona dla każdego typu lampy katalogowo określona. Np. dla lampy AL4 moc admisyjna wynosi 9 watów, dla lampy EL5 - 18 watów itd. Mając na myśli moc admisyjną lampy możemy mówić o lampie 9 - watowej, 18 - watowej, 2 - watowej itd. Nie oznacza to jednak bynajmniej, że moc użyteczna jaką możemy z tych lamp otrzymać, jest równa odpowiednio 9 watom, 18 watom względnie 2 watom. Moc użyteczna dostarczana podczas pracy lampy do głośnika jest w pewnym stopniu zależna od mocy admisyjnej, lecz zależy poza tym jeszcze od innych czynników, o których w dalszym ciągu będzie mowa. Znając moc admisyjną lampy z katalogu możemy zawsze dla danego napięcia anodowego Uao z góry określić maksymalny prąd anodowy stały, jaki w stanie spoczynku lampy może przez lampę płynąć bez szkody dla lampy. wielkość tego prądu obliczymy w zależności:
Uao.Iao = Pad (1)
jeżeli przez Pad oznaczymy moc admisyjną lampy. Z równości tej wynika, że:
(2)
Prąd anodowy Iao nastawiamy za pomocą ujemnego przedpięcia siatkowego. Właściwe nastawienie prądu anodowego przez ujemne napięcie siatki lampy jest pierwszym podstawowym warunkiem dobrego wykorzystania lampy głośnikowej. Należy jednak zwrócić baczną uwagę na to, aby nie przekroczyć wartości prądu anodowego określonego wg wzoru (2), ponieważ może to spowodować uszkodzenie lampy. Przegrzanie anody lampy powoduje w większości przypadków pogorszenie się próżni lampy wskutek tego, że rozgrzana anoda lampy wyrzuca z siebie resztki okludowanych gazów.
Drugim warunkiem dobrego wykorzystania lampy w układzie mocy jest stosowanie maksymalnego dla danego typu lampy przepisanego napięcia anodowego. Napięcie to jest również podawane w katalogach lampowych. Np. dla lampy głośnikowej AL4, czytamy w katalogu lampowym: Uao = 250V, Iao = 36mA, Us = -6V, Pad = 9W. Przekonujemy się łatwo, że przepisowy prąd anodowy 36mA przy zastosowaniu napięcia anodowego 250V jest maksymalnie dopuszczalnym prądem, wynikającym z mocy admisyjnej lampy Pad = 9W. Mamy bowiem zgodnie ze wzorem (1) 250.36.10-3 = 9W. Gdybyśmy zastosowali niższe napięcie anodowe, np. Uao = 200V, wówczas moglibyśmy, bez szkody dla lampy, zwiększyć prąd anodowy do wartości:

Odwrotnie, gdybyśmy zastosowali napięcie anodowe wyższe niż 250V, np. Uao = 300V, wówczas musielibyśmy zmniejszyć prąd anodowy przez nastawienie większego ujemnego napięcia siatkowego do wartości:

Żeby nie przeliczać za każdym razem maksymalnego prądu anodowego dla dowolnego napięcia anodowego - możemy zależność prądu anodowego od napięcia anodowego wyrażoną wzorem (2) przedstawić graficznie na wykresie charakterystyk anodowych lampy. Otrzymamy krzywą, która nazywa się hyperbolą. Ponieważ każdy punkt leżący na tej hyperboli odpowiada mocy admisyjnej danej lampy, wobec tego nazywamy tę krzywą hyperbolą mocy admisyjnej lampy. Hyperbola mocy admisyjnej Pad = 9W dla lampy AL4 przedstawiona jest linią kreskowaną na rys.1.

Rys.1
Widzimy, że hyperbola ta przechodzi przez punkty, które poprzednio wyznaczyliśmy rachunkiem, a mianowicie: (Ua = 300V, Ia = 30mA), (Ua = 200V, Ia = 45mA). Początkowy punkt pracy lampy głośnikowej powinien być tak wybrany, aby leżał na hyperboli mocy admisyjnej, albo też poniżej tej hyperboli, w żadnym jednak przypadku nie powyżej tej krzywej. Hyperbola mocy admisyjnej przecina charakterystyki lampowe odpowiadające różnym napięciom ujemnym siatkowym. Wyszukując charakterystykę przechodzącą przez z góry obrany punkt początkowy pracy, leżący na hyperboli mocy, możemy wyznaczyć potrzebne ujemne przedpięcie siatki ustalające żądany prąd anodowy. Np. przez punkt Po odpowiadający napięciu anodowemu Ua = 250V i prądowi Ia = 36mA przechodzi przechodzi charakterystyka lampowa, która należy do ujemnego napięcia siatkowego Us = -6V. Wynika stąd, że aby ustawić wartość prądu 36mA, potrzebne jest ujemne napięcie siatkowe -6V. To ujemne napięcie siatkowe możemy otrzymać automatycznie, włączając między katodę i chassis aparatu opór katodowy o wartości takiej, aby prąd anodowy 36mA spowodował na nim spadek napięcia równy 6V. Z prawa Ohma wynika wartość tego oporu katodowego równa:

W ten sposób wyznaczyliśmy początkowy punkt pracy lampy głośnikowej najodpowiedniejszy ze względu na otrzymanie możliwie dużej mocy użytecznej (akustycznej).
Moc użyteczna lampy
Moc użyteczna jest to moc, jaką podczas pracy lampy wydziela się na oporze anodowym lampy. W stopniu końcowym z reguły w obwodzie anodowym lampy włączony jest transformator, który przenosi moc elektryczną z obwodu anodowego lampy do głośnika. Dla składowej stałej prądu anodowego opór pierwotny uzwojenia transformatora jest znikomo mały, wskutek czego można go pominąć w rozumowaniach nad mocą użyteczną. Dopiero podczas pracy lampy, kiedy występują wahania prądu anodowego, wywołane zmiennym napięciem siatkowym, na zaciskach pierwotnego uzwojenia transformatora głośnikowego powstają zmienne napięcia, które przenoszą się na głośnik poprzez uzwojenie wtórne transformatora i powodują ruch cewki ruchomej głośnika. Przez transformator przenosi się moc prądów zmiennych, wywołanych zmiennym napięciem przyłożonym do siatki lampy końcowej. Moc ta jest właśnie mocą użyteczną lampy. Moc użyteczna lampy jest w pewnym stopniu zależna od mocy admisyjnej lampy, poza tym jednak zależy od typu lampy. Z pentody głośnikowej można na ogół otrzymać większą moc użyteczną niż z triody o tej samej mocy admisyjnej. Lampa w stanie spoczynku, mimo że płynie przez nią prąd anodowy, nie wydziela mocy do głośnika. Dopiero w miarę sterowania lampy zmiennym napięciem siatkowym moc użyteczna wzrasta. Interesujące jest zagadnienie, jaka jest maksymalna moc użyteczna, którą możemy z danej lampy otrzymać i od czego ona zależy, albo inaczej postawione pytanie: jakie muszą być spełnione warunki, aby z danej lampy otrzymać możliwie maksymalną moc użyteczną? Na to pytanie postaramy się odpowiedzieć.
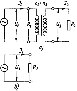
Układ stopnia końcowego z idealnym transformatorem
Typowy układ stopnia końcowego z triodą pokazany jest na rys.2.

Rys.2
Transformator Tr o odpowiedniej przekładni zwojowej służy do dopasowania oporu cewki głośnika do lampy dla osiągnięcia maksymalnej mocy akustycznej. Z tego wniosek, że prawidłowa praca układu zależeć będzie przede wszystkim od dobrze dobranej przekładni transformatora i od jego prawidłowego wykonania. Zastanówmy się nad tym, jakie właściwości powinien mieć transformator idealny.
Cel i zadanie transformatora - to przekazywanie mocy prądów zmiennych z obwodu anodowego lampy do obwodu głośnikowego. Przy idealnym transformatorze przenoszenie mocy elektrycznej odbywa się bez strat, to znaczy, że sam transformator jako przenośnik mocy elektrycznej nie pochłania żadnej mocy. Wynika stąd, że opory omowe uzwojeń transformatora idealnego powinny być równe zeru, a więc drut nawojowy transformatora powinien mieć odpowiednio duży przekrój. Zobaczymy później w jakim stopniu to przybliżenie do ideału jest praktycznie możliwe. Dalej, w rdzeniu żelaznym transformatora idealnego nie mogą powstać straty mocy, na wskutek histerezy magnetycznej jak i wskutek prądów wirowych. W praktyce warunek ten też nie jest w stu procentach osiągalny.
Zapytajmy się teraz, jaka powinna być indukcyjność transformatora idealnego po stronie pierwotnej. Odpowiedź na to pytanie wynika z rozumowania nad biegiem jałowym transformatora. Transformator nieobciążony po stronie wtórnej, załączony do źródła prądu zmiennego nie powinien pobierać ze źródła żadnego prądu, czyli, że jego opór pozorny między zaciskami pierwotnymi powinien być nieskończenie duży, a więc indukcyjność pierwotna transformatora idealnego powinna być również nieskończenie duża. Na odwrót, przy zwarciu zacisków wtórnych powinno również wystąpić zwarcie źródła prądów zmiennych, do którego transformator jest dołączony, czyli opór pozorny transformatora zwartego - między zaciskami pierwotnymi powinien być równy zeru. W ten sposób zachowuje się transformator idealny w dwóch skrajnych przypadkach. Podczas normalnej pracy transformator obciążony jest po stronie wtórnej oporem cewki głośnika, który możemy przyjąć za opór rzeczywisty. Pod wpływem napięcia, jakie występuje na zaciskach wtórnych, płynie przez ten opór pewien prąd, który z kolei wywołuje prąd w uzwojeniu pierwotnym transformatora. Oczywiście, że prąd, czerpany przez transformator ze źródła musi być tak duży, żeby moc pobierana przez transformator ze źródła była równa mocy wydzielonej na oporze obciążenia transformatora po stronie wtórnej. Ponieważ moc elektryczna jest równa iloczynowi napięcia przez prąd, przeto iloczyn napięcia pierwotnego przez prąd pierwotny musi być równy iloczynowi napięcia wtórnego przez prąd wtórny:
U1.I1 = U2.I2 (3)
Na rys.3 pokazany jest transformator załączony do źródła prądu zmiennego i obciążony oporem R2 oraz jego układ zastępczy; n1 i n2 oznaczają liczbę zwojów uzwojenia pierwotnego i wtórnego. Opór R1 oznacza opór zastępczy transformatora, jaki widziany jest przez źródło między zaciskami pierwotnymi transformatora.

Rys.3
Obliczmy ten opór zastępczy. W tym celu podstawmy w równaniu (3) zamiast I2 wartość tego prądu, która wynika z prawa Ohma:

a zamiast I1 podstawmy:
Otrzymamy po podstawieniu równość:
(4)
Z ostatniej równości obliczamy R1:
(5)
Stosunek napięć na zaciskach transformatora nazywamy przekładnią napięciową transformatora i oznaczamy przez p. Jak z teorii transformatora wynika, przekładnia napięciowa transformatora jest równa stosunkowi liczby zwojów uzwojeń, czyli:

Podstawiając ostatnią równość do (5) otrzymamy:
(6)
Znając opór obciążenia R2 i znając przekładnię transformatora p, możemy zawsze obliczyć według wzoru (6) opór przeniesiony na stronę pierwotną R1. Zmieniając przekładnię transformatora p możemy zmieniać również opór przeniesiony R1. Na odwrót, wiedząc jaki duży ma być opór przeniesienia R1, możemy zawsze dobrać przekładnię transformatora w ten sposób, aby opór głośnika R2 widziany był po stronie pierwotnej transformatora jako opór równy R1, mianowicie:
(7)
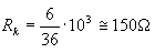
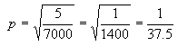
Na przykład: cewka głośnika posiada opór R2 = 5omów. Chcemy zwiększyć opór ten po stronie pierwotnej transformatora do wartości R1 = 7000omów. Jaką przekładnię musi posiadać transformator? Z wzoru (7) obliczamy:

a więc transformator musi mieć przekładnie 37,5:1.
Zachodzi teraz następne pytanie, jak wyznaczyć dla danej lampy głośnikowej opór R1? Od dobrze dobranej wartości tego oporu zależy bowiem maksymalna moc użyteczna, jaką możemy z danej lampy osiągnąć. Opór R1 jest oporem pracy lampy, przez który przepływają prądy zmienne, wywołując na nim spadek napięcia. Amplituda tych prądów zmiennych anodowych nie może przekroczyć wartości składowej stałej prądu anodowego Iao, w przeciwnym bowiem razie nastąpi odcięcie amplitud prądu zmiennego i powstaną poważne zniekształcenia. Dla lampy AL4 wahania prądu anodowego nie powinny przekroczyć wartości 36mA. Zatem największa amplituda prądu zmiennego anodowego dla tej lampy nie powinna przekroczyć wartości Ia = 36mA. Prąd ten przepływając przez opór pracy Ra = R1 wywołuje spadek napięcia Ua = Ia.R1. Wartość tego napięcia jest większa lub mniejsza, zależnie od wartości oporu R1. Jeżeli opór R1 jest mały, wówczas również amplitudy napięcia na tym oporze wywołane amplitudami prądu Ia = 36mA, będą małe i moc wydzielona na oporze R1 również mała. Ze wzrostem oporu R1 rosną amplitudy napięcia Ua = Ia.R1 i równocześnie wzrasta moc użyteczna. Nie można zresztą dopuścić, aby amplitudy wahań napięcia anodowego były większe od składowej stałej napięcia anodowego, czyli w naszym przypadku większe od 250V, ponieważ nastąpiłoby w tym przypadku obcięcie wierzchołków amplitud napięciowych. Widzimy więc, że najkorzystniejszy będzie opór anodowy, na którym wahania prądowe maksymalne Ia = Iao spowodują maksymalne wahania napięciowe czyli równe Ua = Uao. Optymalny opór anodowy będzie zatem równy, zgodnie z prawem Ohma:
(8)
Dla lampy AL4 otrzymamy podstawiając Iao = 36mA, Uao = 250V:

Widzimy więc, że optymalny opór pracy dla pentody zależny jest jedynie od warunków pracy lampy, a więc od zastosowanego napięcia źródła zasilającego lampę i od nastawionego prądu anodowego Iao, nie zależy natomiast od parametrów samej lampy. Oczywiście, że rozumowanie powyższe jest przybliżone, lecz daje wyniki liczbowe wystarczająco dokładne. Przeważnie możemy sobie darować obliczenia oporu anodowego optymalnego Ra, ponieważ w katalogach lampowych opór ten jest zwykle podawany. Dla pentody głośnikowej AL4 znajdujemy w katalogu wartość Ra = 7000omów, a więc wartość tę samą, którą poprzednio obliczyliśmy. Znając optymalny opór pracy Ra i opór cewki głośnika możemy obliczyć potrzebną przekładnię transformatora:

Przekładnia ta, jak już wiemy, wynosi 37,5:1.
Obliczenie optymalnego oporu według (8) jest słuszne tylko dla pentody, natomiast nie odnosi się do triody głośnikowej. Dla triody optymalny opór pracy jest prawie dwukrotnie mniejszy od oporu, jaki wypada nam z obliczeń według wzoru (8).
Maksymalna moc użyteczna
Przy obliczaniu optymalnego oporu roboczego pentody założyliśmy, że wartość prądu anodowego o amplitudzie 36mA, czyli równe składowej stałej prądu anodowego powodują równocześnie na oporze optymalnym wahania napięciowe o amplitudzie równej 250V, czyli o amplitudzie równej składowej stałej napięcia anodowego Uao. Przy tym założeniu moc użyteczna otrzymana z lampy byłaby równa:
(9)
Moc prądu zmiennego obliczamy jako iloczyn skutecznej wartości napięcia zmiennego przez skuteczną wartość prądu zmiennego. Z drugiej strony wiemy, że wartość skuteczna napięcia czy prądu zmiennego równa się amplitudzie wartości zmiennej podzielonej przez pierwiastek z 2. Stąd wynika wzór (9).
W idealnym przypadku z pentody można by było otrzymać moc użyteczną równą połowie mocy admisyjnej. Np. z pentody głośnikowej AL4 o mocy admisyjnej 9W - teoretycznie maksymalna moc użyteczna byłaby równa 4,5W. W rzeczywistości jednak mocy tej osiągnąć się nie da. Rys.4 przedstawia wykres charakterystyki roboczej odpowiadającej optymalnemu oporowi pracy 7000omów. Jest to linia prosta przechodząca przez początkowy punkt pracy Po i o takim nachyleniu, że łączy punkty 72mA na osi Ia i 500V na osi Ua.

Rys.4
Podczas maksymalnego wysterowania lampy napięcie siatkowe zmienia się od -6V do zera i w drugim kierunku do -12V. Napięcie zmienne siatkowe o większej amplitudzie niż 6V spowodowałoby przesterowanie lampy i duże zniekształcenia. Punkt pracy lampy przy takim sterowaniu lampy przesuwa się od Po do A i od A do B. Prąd anodowy w punkcie A posiada wartość około 70mA, natomiast w punkcie B około 10mA. Podwójna amplituda wahań prądowych wynosi zatem 70 - 10 = 60mA. Średnia amplituda wahań prądu anodowego jest równa:

Podobnie wyznaczymy średnią amplitudę wahań napięcia anodowego. W punkcie A napięcie anodowe wynosi około 20V, w punkcie B około 420V. Podwójna amplituda wahań napięcia jest wobec tego równa 420 - 20 = 400V. Stąd średnia amplituda napięcia zmiennego:

Mając wyznaczone amplitudy prądu i napięcia zmiennego możemy obliczyć moc użyteczną maksymalną otrzymaną z lampy AL4:

Jest to znacznie mniej niż poprzednio obliczyliśmy dla przypadku idealnego, przy którym założyliśmy, że amplituda prądu anodowego Ia jest równa 36mA, a amplituda napięcia Ua jest równa 250V. W rzeczywistości jeżeli nie chcemy otrzymać zbyt zniekształconych przebiegów zmiennych w głośniku, amplitudy te są nieco mniejsze, co pociąga za sobą zmniejszenie mocy użytecznej lampy.
Praktycznie możemy zapamiętać, że z pentody głośnikowej możemy otrzymać maksymalną niezniekształconą moc równą 33% do 40% mocy admisyjnej lampy, pod warunkiem optymalnego dopasowania głośnika do lampy, przy czym optymalny opór pracy powinien wynosić:

Jak widzimy, zagadnienie dopasowania oporu głośnika do lampy oraz określenie maksymalnej mocy nie zniekształconej, jaką w tych warunkach możemy otrzymać z pentody, nie jest trudne.
Następnym razem zobaczymy, jak to samo zagadnienie przedstawia się przy triodzie głośnikowej. Już teraz można powiedzieć, że przy triodzie ze względu na odmienny przebieg charakterystyk anodowych triody zagadnienie to przedstawia się mniej korzystnie niż przy pentodzie. Dlatego też pentoda głośnikowa stała się lampą końcową bardziej popularną niż trioda.