M.R., "Trioda jako lampa końcowa"
Radioamator 1953/09
Zagadnienie stopnia mocy z pentodą było rozpatrywane w poprzednim artykule. Sprowadzało się ono do właściwego dopasowania oporu głośnika, za pomocą transformatora głośnikowego, do typu stosowanej pentody głośnikowej, przy czym wzór na optymalny opór anodowy dla pentody jest niezmiernie prosty, mianowicie:
(1)
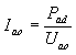
Ra - oznacza optymalny opór anodowy, Uao - napięcie stałe prostownika sieciowego lub baterii anodowej; Iao - prąd anodowy jaki płynie w stanie spoczynku przez lampę, a którego wartość nastawiamy przez odpowiednio dobrane napięcie siatkowe lampy. Zaznaczyć należy, że przy nastawieniu prądu spoczynkowego Iao lampy końcowej kierujemy się jej mocą admisyjną Pad, to jest mocą, jaką lampa może jeszcze, bez szkody dla siebie, przerobić na ciepło w anodzie. Prąd Iao uzależniony jest od mocy admisyjnej Pad i od napięcia prostownika Uao. Jego wartość wyznaczamy ze wzoru:
(2)
Np. dla pentody głośnikowej AL4 mamy Pad = 9W. Stąd przy napięciu prostownika Uao = 250V wynika:
czyli Iao =36mA. Wartość ta podawana jest zwykle w katalogach lampowych jak również napięcie anodowe Uao = 250V.
Mając dane napięcie anodowe Uao oraz prąd anodowy spoczynkowy Iao dla danej pentody, możemy ze wzoru (1) wyznaczyć optymalny opór pracy dla tej lampy. W naszym przypadku otrzymamy:
Z drugiej strony, aby opór głośnika np. Rg = 5omów "dopasować" do lampy, a więc przetransformować jego wartość z 5omów do 7000omów musimy zastosować transformator głośnikowy o przekładni, którą obliczamy ze wzoru:
(3)
W naszym przypadku dla Ra = 7000omów i Rg = 5omów przekładnia transformatora głośnikowego wyniesie:

znaczy to, że liczba zwojów wtórnych transformatora głośnikowego musi być 37,5 razy mniejsza od liczby zwojów pierwotnych:

Przy tak dobranej przekładni transformatora opór głośnika Rg = 5omów "widziany" będzie przez lampę jako opór Ra = 7000omów (mowa jest tutaj o oporze dla prądów zmiennych, czyli dla prądów akustycznych, które podczas pracy lampy nakładają się na składową stałą prądu anodowego Iao). Lampa wydzielać będzie na tym optymalnym oporze anodowym przy pełnym wysterowaniu swoją maksymalną moc akustyczną. Łatwo się o tym przekonać drogą następującego prostego rozumowania. Przy pełnym wysterowaniu prądowym wahania prądu anodowego mogą posiadać amplitudę najwyżej równą składowej stałej prądu anodowego Iao czyli Ia = Iao. Zgodnie z prawem Ohma wahania prądowe o amplitudzie Ia wywołują na oporze anodowym Ra wahania napięcia anodowego o amplitudzie Ua = Ia.Ra. W naszym przypadku dla Ia = Iao = 36mA i Ra = 7000omów otrzymamy:
Ua = Iao . Ra = 36 . 10-3 . 7 . 103 = 250V
Widzimy więc, że dobierając opór pracy lampy równy oporowi optymalnemu - przy pełnym wysterowaniu prądowym lampy uzyskujemy równocześnie pełne wykorzystanie napięciowe lampy (amplituda wahań napięcia anodowego równa się składowej stałej napięcia anodowego Uao). Wynika stąd teoretycznie maksymalna moc użyteczna, jaką możemy z pentody, pracującej w klasie A1 otrzymać, mianowicie:
(4)
Jeżeli nastawiliśmy prąd spoczynkowy Iao maksymalny ze względu na moc admisyjną lampy, wówczas iloczyn Uao.Iao równa się mocy admisyjnej lampy Uao.Iao=Pad, a maksymalna moc użyteczna, jaką możemy z lampy uzyskać według wzoru (4), równa się połowie mocy admisyjnej lampy, czyli że maksymalna sprawność lampy w klasie A1 wynosi teoretycznie 50%:

W praktyce jednak tak głęboko lampy wysterować nie można. Wahania prądowe jak i napięciowe posiadają mniejszą amplitudę od składowych stałych prądu anodowego i napięcia anodowego, wskutek czego sprawność maksymalna pentody przy optymalnym dopasowaniu wynosi najwyżej 40%, jak wykazaliśmy na charakterystykach pentody w poprzednim artykule. Z pentody głośnikowej AL4, której moc admisyjna wynosi Pad = 9W, można wobec tego na oporze anodowym optymalnym Ra = 7000omów otrzymać moc użyteczną (akustyczną) rzędu:
Pa = 9 . 0,4 = 3,6W
Zobaczmy teraz, jak wygląda zagadnienie właściwego wykorzystania triody jako lampy końcowej pracującej w klasie A bez prądu siatki, czyli w tak zwanej klasie A1. Jeżeli chodzi o właściwe nastawienie prądu anodowego w stanie spoczynku lampy, to kierujemy się tymi samymi przesłankami co przy pentodzie, czyli stosujemy napięcie anodowe spoczynkowe Uao (napięcie prostownika sieciowego) możliwie największe przepisane dla danego typu lampy danymi katalogowymi. Dla przykładu weźmy triodę głośnikową AD1. Przepisowe napięcie anodowe dla tej lampy wynosi Uao = 250V. Moc admisyjna Pad = 15W. Z danych tych możemy wyznaczyć maksymalny prąd w stanie spoczynku Iao:
Na rys.1 przedstawione są charakterystyki anodowe lampy AD1, z wyrysowaną hyperbolą mocy admisyjnej Pad = 15W.

Rys. 1.
Żeby nie zaciemniać rysunku narysowano tylko trzy charakterystyki anodowe, mianowicie charakterystykę zerową (Us = 0), charakterystykę przechodzącą przez punkt początkowy pracy Po (Us = -45V) i charakterystykę dla ujemnego napięcia siatki Us = -90V. Punkt początkowy pracy lampy Po leży na przecięciu się prostej pionowej wykreślonej z punktu Uao = 250V na osi napięć, z hyperbolą mocy admisyjnej. Prowadząc przez punkt Po prostą poziomą aż do przecięcia się z osią prądową odczytujemy wartość prądu spoczynkowego Iao = 60mA. Następnie szukamy wśród rodziny charakterystyk anodowych lampy tę charakterystykę, która przechodzi przez punkt Po i odczytujemy ujemne napięcie siatkowe, które tej charakterystyce odpowiada. W naszym przypadku jest to charakterystyka należąca do napięcia siatkowego Us = -45V. Tak duże ujemne napięcie musimy przyłożyć do siatki lampy AD1, aby przy napięciu anodowym 250V otrzymać prąd anodowy Iao = 60mA. Następny etap to wyznaczenie prostej roboczej odpowiadającej optymalnemu oporowi pracy lampy. Prosta robocza przechodzić musi przez punkt spoczynkowy Po. Poza tym nachylenie tej prostej w stosunku do osi poziomej musi być tak dobrane, aby moc otrzymana na oporze anodowym podczas maksymalnego wysterowania lampy była największa. Aby znaleźć to optymalne nachylenie prostej roboczej rozumujemy w sposób następujący.
Przy pełnym wysterowaniu lampy napięcie siatkowe wahać się może jedynie w granicach od zera do -90V. Wynika to stąd, że podczas pracy lampy na napięcie siatkowe stałe Uso = -45V nakłada się napięcie zmienne o amplitudzie Us. Napięcie siatkowe lampy oscyluje zatem między wartościami szczytowymi: Uso + Us i Uso - Us. Jeżeli nie chcemy przekroczyć napięcia zerowego siatki, lecz pracować jedynie w zakresie ujemnych napięć siatkowych (w celu uniknięcia prądu siatkowego), to maksymalna amplituda napięcia siatkowego zmiennego Us może być najwyżej równa składowej stałej napięcia siatkowego Uso czyli: Us = Uso.
W tym przypadku szczytowe wartości napięcia siatki wynosić będą odpowiednio Uso + Uso = 2Uso i Uso - Uso = 0. W naszym przypadku Uso = -45V. Odpowiada to wartościom 2Uso = -90V i 0V.
Wiadomo, że jeśli napięcie siatkowe rośnie, czyli staje się mniej ujemne, to rośnie również prąd anodowy lampy i na odwrót. Chcemy oczywiście, aby podczas pełnego wysterowania lampy prąd anodowy był również w pełni wysterowany, to znaczy aby amplituda wahań prądu anodowego, którego wartość spoczynkowa jest równa Iao = 60mA, była równa możliwie tejże wartości spoczynkowej, to znaczy aby Ia = Iao = 60mA. Chcemy więc, aby przy szczytowym napięciu siatkowym Us = 0V szczytowa wartość prądu anodowego dochodziła do wartości Iao + Iao = 2Iao = 120mA. Punkt pracy, który odpowiada tej wartości prądu anodowego przy zerowym napięciu siatki (Us = 0) leży na przecięciu się prostej poziomej poprowadzonej z punktu Ia = 120mA osi prądowej z charakterystyką zerową lampy. Jest to punkt A na rys. 1. Mając już dwa punkty, przez które prosta robocza powinna przechodzić, możemy tę prostą wykreślić. Prowadzimy zatem prostą przez punkty A i Po. Prosta ta jest naszą szukaną prostą roboczą o optymalnym nachyleniu. Przecina ona charakterystykę lampy należącą do napięcia siatkowego Us = -90V w punkcie B. Jest to drugi skrajny punkt pracy lampy. Jeżeli napięcie siatkowe lampy zmienia się od zera do -90V, to punkt pracy lampy przesuwa się wzdłuż prostej roboczej od A do B. Punkty te wyznaczają szczytowe wartości prądu anodowego jak również napięcia anodowego. Przesunięcie się punktu pracy od Po do A odpowiada wzrost prądu anodowego od Iao = 60mA do 120mA i spadek napięcia anodowego od Uao = 250V do ua = 100V. Napięcie ua jest resztkowym napięciem niewykorzystanym. Zależy ono od przebiegu charakterystyki zerowej lampy, ściśle mówiąc od jej nachylenia czyli od oporu wewnętrznego lampy. Ze względu na dobre wykorzystanie lampy napięcie to powinno być możliwie małe. Dobre triody głośnikowe powinny mieć zatem mały opór wewnętrzny.
Przy pentodach głośnikowych sprawa ta przedstawia się znacznie korzystniej niż przy triodach z tego względu, że wszystkie charakterystyki anodowe pentody wychodzą z punktu zerowego układu współrzędnych i przebiegają, przy małych napięciach anodowych, stromo w górę blisko osi prądowej Ia, a więc napięcie resztkowe ua przy pentodach jest zazwyczaj małe i można je w przybliżonych rachunkach całkowicie pominąć, czego nie można uczynić przy triodach. Zobaczymy teraz, co się dzieje, jeżeli napięcie siatkowe triody AD1 zmniejsza się od wartości Uso = -45V do Uso = -90V. Punkt pracy przesuwa się wówczas od punktu Po do punktu B wzdłuż prostej roboczej. Prąd anodowy maleje do wartości resztkowej ia = 10mA, natomiast napięcie anodowe Ua rośnie do wartości szczytowej Ua = 370V. Gdyby charakterystyki triody były poprzesuwane idealnie równolegle względem siebie w jednakowych odstępach, wówczas punkt B przypadłby na koniec prostej roboczej i leżałby na osi Ua. Ponieważ jednak przy dużych ujemnych napięciach siatkowych występuje zagęszczenie charakterystyk anodowych triody, punkt B leży nie na końcu prostej roboczej, co powoduje niecałkowite wysterowanie prądowe lampy oraz wywołuje pewną asymetrię obu amplitud prądu anodowego. W konsekwencji powstają pewne zniekształcenia amplitudy prądu zmiennego. Lampy nie możemy uważać za element zupełnie liniowy przy jej głębokim wysterowaniu. Zniekształcenia tego rodzaju nazywamy również zniekształceniami nieliniowymi. Walka z tymi zniekształceniami stanowi osobne ważne zagadnienie radiotechniki, o czym będzie jeszcze mowa w późniejszych artykułach.
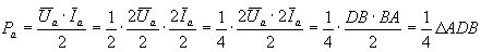
Mając wyznaczoną prostą roboczą możemy określić wielkość oporu optymalnego dla danej lampy. Wielkość tego oporu wynika z nachylenia prostej roboczej do osi Ua. Z prawa Ohma oblicza się opór jako stosunek napięcia do prądu. Ponieważ chodzi nam o opór dla przebiegów zmiennych, bierzemy stosunek amplitud napięcia i prądu anodowego zmiennego. Z rysunku wynika, ze dodatnia amplituda prądu anodowego równa jest odcinkowi AC. Na skali prądowej odczytujemy Ia = AC = 60mA. Amplitudzie prądu anodowego AC odpowiada amplituda amplituda napięcia anodowego CP. Jest ona równa różnicy między napięciem spoczynkowym Uao a napięciem resztkowym ua.
Ua = Uao - ua = 250 - 100= 150V
Wobec tego opór anodowy odpowiadający danej prostej roboczej równa się:
Jest to optymalny opór anodowy dla danego typu triody. Przy tak dobranym oporze anodowym łatwo jest obliczyć maksymalną moc użyteczną jaką możemy z lampy AD1 uzyskać. Moc użyteczną obliczamy jako iloczyn skutecznej wartości prądu anodowego (składowej zmiennej) i napięcia anodowego albo połowę iloczynu amplitud prądu i napięcia:
(5)
Amplitudy Ua i Ia wyznaczamy z rys.1. Ponieważ jednak obie amplitudy, dodatnia i ujemna, tak napięcia jak i prądu nie są sobie równe, musimy wziąć średnią wartość tych amplitud. Z rys.1 wynika, że podwójna amplituda prądu anodowego jest równa odcinkowi AD, czyli średnia wartość amplitudy prądu anodowego równa jest połowie tego odcinka:

Podobnie otrzymujemy średnią wartość amplitudy napięcia anodowego jako połowę odcinka DB czyli:
Moc anodowa użyteczna otrzymana z lampy AD1 będzie zatem, zgodnie z wzorem (5):
Patrząc uważnie na wzór (3) widzimy, że przypomina on wzór na powierzchnię trójkąta prostokątnego o bokach Ua i Ia. Gdyby obie amplitudy (dodatnia i ujemna) prądu i napięcia był równe, to powierzchnie trójkątów ACP i PoEB byłyby również równe i wielkość powierzchni każdego z tych trójkątów byłaby równa mocy użytecznej wydzielanej przez lampę podczas pracy. Dlatego też trójkąty ACP i PoEB nazywamy trójkątami mocy. Średnia moc użyteczna jest średnią arytmetyczną powierzchni obu trójkątów. Można ją obliczyć z trójkąta dużego ADB dzieląc jego powierzchnię przez 4. Mamy bowiem zależność:
Trójkąt ADB możemy nazwać trójkątem poczwórnej mocy użytecznej lampy. Im większa jest jego powierzchnia, tym większa jest moc użyteczna otrzymana z lampy. Dla triody AD1 obliczyliśmy już średnią moc użyteczną:
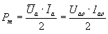
Jest to moc tego samego rzędu, jaką uzyskać można z pentody 9-watowej AL4, chociaż moc pobierana przez triodę AD1 z prostownika sieciowego jest równa 15W, a więc znacznie większa niż przy pentodzie AL4 (9W). Wynika stąd, że sprawność triody głośnikowej jest znacznie mniejsza niż sprawność pentody. Znając moc użyteczną Pa = 3,7W i moc pobieraną przez lampę z prostownika Pd = Uao . Iao = 250 . 0,060 = 15W możemy określić sprawność lampy jako stosunek mocy użytecznej Pa do mocy dostarczonej Pd. Otrzymamy w przypadku lampy AD1:
Sprawność ta jest sprawnością maksymalną dla tej lampy i można ją osiągnąć jedynie przy optymalnym dopasowaniu głośnika do lampy, (opór anodowy Ra = 2500omów) i pełnym wysterowaniu. W przypadku niedopasowania oporu anodowego do lampy maksymalna sprawność jest mniejsza. Można zatem średnio przyjąć 20% za maksymalną sprawność triody głośnikowej w klasie A1. W porównaniu z pentodą głośnikową, dla której przeciętna sprawność wynosi około 40% jest to o połowę mniej. Z tego punktu widzenia pentoda głośnikowa ma poważną przewagę nad triodą głośnikową. Nie tylko jednak z tego względu stosowanie pentody głośnikowej jest korzystniejsze od stosowania triody. Zwróćmy uwagę na wielkość napięcia siatkowego potrzebnego do wysterowania triody i pentody o tej samej mocy użytecznej. Dla przykładu porównajmy ze sobą potrzebne napięcia siatkowe zmienne konieczne do pełnego wysterowania triody głośnikowej AD1 i pentody AL4. Lampy te, jak przekonaliśmy się, mogą dostarczyć tę samą moc użyteczną. Dla pełnego wysterowania trioda AD1 potrzebuje zmiennego napięcia siatkowego o amplitudzie Us = 45V, podczas gdy pentoda AL4 tylko 4,5V. Trioda głośnikowa AD1 wymaga zatem dziesięciokrotnie większego napięcia siatkowego od pentody AL4, jest więc od tej ostatniej dziesięciokrotnie mniej czuła. Ma to duże znaczenie przy projektowaniu wzmacniaczy o możliwie małej ilości stopni wzmocnienia. Zreasumujmy pod koniec nasze dotychczasowe wiadomości na temat należytego wykorzystania lampy końcowej pracującej w układzie mocy w klasie A1.
Aby w pełni wykorzystać lampę końcową, należy:
- zastosować możliwie wysokie napięcie anodowe (przepisane danymi katalogowymi),
- ustalić maksymalny, ze względu na moc admisyjną lampy, prąd anodowy w stanie spoczynku,
- obciążyć lampę oporem optymalnym przy pomocy odpowiedniego transformatora wyjściowego.
Wyznaczenie właściwych warunków pracy lampy i oporu anodowego optymalnego odbywa się w sposób pokazany na rys.2.

Rys.2
Przy tak dobranych optymalnych warunkach pracy moc użyteczna, jaką możemy z lampy otrzymać, jest zależna od mocy admisyjnej lampy i jest większa przy pentodzie niż przy triodzie.
Przy pentodzie maksymalna moc użyteczna w klasie A1 wynosi około 40% mocy admisyjnej lampy, natomiast przy triodzie tylko 20% mocy admisyjnej. Są to oczywiście wartości orientacyjne. Dokładnie można obliczyć moc użyteczną lampy w danych warunkach pracy na podstawie trójkąta mocy wykreślonego na siatce charakterystyk anodowych lampy.
Moc akustyczna (użyteczna) lampy nie może być w żadnym przypadku większa od połowy mocy pobieranej przez lampę w stanie spoczynku z prostownika sieciowego lub baterii anodowej.
Gorsza sprawność triody w stosunku do pentody wynika ze złego wykorzystania napięciowego lampy. Możemy ogólnie wyrazić sprawność lampy we funkcji wykorzystania napięciowego i wysterowania prądowego lampy. Oznaczmy w tym celu przez h współczynnik wykorzystania napięcia anodowego, jako stosunek amplitudy napięcia zmiennego anodowego Ua do składowej stałej napięcia anodowego Uao:

a przez j współczynnik wysterowania prądowego lampy, jako stosunek amplitudy prądu anodowego Ia do składowej stałej prądu Iao:
Przy takim oznaczeniu wzór na moc użyteczną lampy przekształci się w sposób następujący:
Ponieważ: Uao . Iao = Pad wobec tego:
Stąd ogólny wzór na sprawność lampy:
Jak wynika z tego wzoru sprawność lampy zależy jedynie od wysterowania prądowego j i wykorzystania napięciowego h.
Ponieważ współczynniki te nie mogą w klasie A1 przekroczyć jedności, wobec tego sprawność lampy nie może być większa od 0,5, czyli 50%.