J. Fijałkowski, Radioamator 3/1959
Wielu posiadaczy przestarzałych odbiorników natrafia na trudności w zdobyciu potrzebnych na wymianę lamp tego samego typu. Jedynym wtedy rozwiązaniem jest użycie lamp zastępczych, tj. lamp o jak najbardziej zbliżonej charakterystyce. Należy pamiętać, że wiele lamp różni się od siebie jedynie odmiennym cokołem lub innym oznaczeniem (nazwą). W tym przypadku sprawa nie nasuwa żadnych trudności, gdyż w popularnych książkach (np. „Jak czytać schematy radiowe”) zamieszczone są tabele lamp zamiennych dla starszych typów. Jeżeli jednak nie znajdziemy tam nazwy odpowiednika szukanej lampy, to danych dotyczących charakterystyki zużytej lampy trzeba znaleźć w krajowym katalogu pt. „Vademecum lamp elektronowych” i według nich dobrać najbardziej zbliżony typ lampy zastępczej. Katalog zawiera dane fabryczne lamp według ich funkcjonalnego przeznaczenia oraz ilości elektrod. Objęte katalogiem lampy podzielone są na 444 grupy napięć żarzenia oraz charakterystycznych wartości. Niezależnie od tego, przy poszczególnych grupach zamieszczone są typy identycznych lamp odmiennie oznaczonych. Czasem jednak brak nam zastępczej lampy, posiadamy natomiast inną, o zbliżonych parametrach, lecz odmiennym żarzeniu, prądzie anodowym czy siatkowym, a skąpe wiadomości z zasad radiotechniki nie pozwalają nam na jej wykorzystanie. Dla tych właśnie radioamatorów podaję kilka ogólnych wskazówek, jak postępować przy zamianie lamp elektronowych.
Przede wszystkim omówimy pokrótce zasadnicze typy lamp. Wystarczającym dla potrzeb początkujących radioamatorów będzie niżej podany podział:
- Lampy prostownicze.
Zamiana ich nie nastręcza na ogół większych trudności. Poszczególne lampy różnią się między sobą:
- napięciem prądu wyprostowanego,
- natężeniem prądu wyprostowanego,
- rodzajem żarzenia (bezpośrednie lub pośrednie),
- napięciem i prądem żarzenia.
Poza tym, ze względu na układ jedno lub dwupołówkowego prostowania, rozróżniamy lampy prostownicze o pojedynczej i podwójnej ilości elektrod. Taką podwójną (dwukierunkową) lampę można zastąpić dwiema lampami pojedynczymi. Każdą zaś lampę pojedynczą (jednokierunkową) można zastąpić lampą podwójną pod warunkiem nie przekroczenia maksymalnego napięcia i prądu prostowanego, a czasem, zwłaszcza w odbiornikach uniwersalnych, musimy włączyć opornik dla ograniczenia prądu anodowego przy pierwszym ładowaniu kondensatora filtra o dużej pojemności. Zawsze natomiast można stosować lampę zastępczą o wyższym napięciu lub prądzie prostowanym. Przy zamianie lamp ograniczamy się zazwyczaj do zmiany połączeń elektrod lub gniazda lampowego, ewentualnie dostosowujemy odbiornik do zmiany napięcia lub prądu żarzenia. Przy niskich napięciach i małym prądzie prostowanym możemy zamiast specjalnej lampy prostowniczej zastosować zwykłą triodę starego typu, łącząc anodę z siatką lampy. - Diody wielkiej częstotliwości.
Różnią się one od lamp prostowniczych jedynie mniejszym napięciem wyprostowanym oraz mniejszym prądem. Różnice pomiędzy nimi są takie same, jak pomiędzy lampami prostowniczymi. Obecnie coraz częściej zastępujemy diody lampowe nowoczesnymi diodami półprzewodnikowymi; trzeba tu tylko zwrócić uwagę na napięcie i prąd wyprostowany. Zamiana taka jest prosta i ma tę zaletę, że nie obciąża obwodów żarzenia.Triody napięciowe. Są one lampami dość uniwersalnymi, gdyż mogą pracować we wzmacniaczach wielkiej i małej częstotliwości, w oscylatorach, mieszaczach i detektorach. Specyficzną cechą dla triod napięciowych jest nachylenie charakterystyki S. - Triody napięciowe różnią się między sobą:
- nachyleniem charakterystyki S,
- opornością wewnętrzną Ri,
- napięciem siatki Us,
- napięciem i prądem anodowym Ua i Ia,
- pojemnościami międzyelektrodowymi, które ogrywają ważną rolę w odbiornikach KF i UKF (zwłaszcza pojemność siatka-anoda),
- napięciem i prądem żarzenia, rodzajem żarzenia (bezpośrednie lub pośrednie) oraz układem cokołu.
Przy zamianie triod napięciowych zwracamy uwagę przede wszystkim na nachylenie charakterystyki, a następnie na napięcie siatkowe oraz napięcie i prąd anodowy. Dzięki stosunkowo dużej ilości triod napięciowych o zbliżonych parametrach można prawie zawsze dobrać lampę zastępczą, ograniczając się do zmiany gniazda lampowego lub napięcia i prądu żarzenia. Tego rodzaju proste zamiany w odbiorniku będą omówione nieco szerzej w dalszej treści artykułu. - Triody mocy (zwane również lampami głośnikowymi).
Różnią się one od poprzednio wymienionych znacznie większym prądem anodowym i dość często wyższym napięciem anodowym, oraz mocą admisyjną Pa i mniejszą opornością wyjściową Ra. Przy zamianie tych lamp zwracamy uwagę przede wszystkim na:
- prąd anodowy Ia,
- napięcie anodowe Ua,
- oporność wyjściową Ra,
- napięcie siatki Us,
- moc admisyjną Pa.
Oporność wewnętrzna i pojemności międzyelektrodowe nie odgrywają zasadniczej roli w triodach mocy. Specjalną uwagę przywiązuje się do mocy admisyjnej oraz oporności wyjściowej. Zmiana oporności wyjściowej powoduje z reguły konieczność przezwojenia transformatora głośnikowego, gdyż w przeciwnym razie powstaną zniekształcenia. Znaczna ilość triod mocy o podobnych parametrach pozwala zazwyczaj ograniczać się do wymiany gniazdka lampowego lub prostej zmiany napięcia i prądu żarzenia oraz napięcia siatkowego (przez zmianę opornika katodowego Rk). - Tetrody i pentody napięciowe.
Są to powszechnie używane lampy we współczesnych odbiornikach. Pracują zazwyczaj we wzmacniaczach wielkiej lub pośredniej częstotliwości oraz w charakterze lampy mieszającej lub oscylatora, ewentualnie detektora. Od innych tetrod i pentod różnią się one tzw. „ostrym odcięciem” krzywej prądu anodowego. Stosowane są wszędzie tam, gdzie wielkość wzmocnienia nie jest zależna od zmiany napięcia na siatce sterującej. Przy zmianie tetrod i pentod napięciowych zwracamy uwagę przede wszystkim na:
- nachylenie charakterystyki S,
- współczynnik wzmocnienia K lub µ,
- odporność wewnętrzną Ri,
-napięcie siatki sterującej Us.
Inne dane charakterystyczne dla tetrod i pentod napięciowych, jak: napięcie i prąd anodowy, napięcie i prąd żarzenia, napięcie i prąd siatki ekranowej – nie odgrywają roli przy zamianie tych lamp. Wyjątek stanowią pojemności międzyelektrodowe, jeśli lampa pracuje we wzmacniaczu wielkiej lub pośredniej częstotliwości w odbiornikach KF i UKF oraz telewizyjnych. Bardzo duży asortyment tetrod i pentod napięciowych pozwala na dobranie takiej, przy której wystarcza zazwyczaj prosta zmiana napięcia anodowego, siatki ekranowej lub sterującej. - Tetrody i pentody regulacyjne (zwane również lampami o zmiennym „nachyleniu”).
Różnią się one od napięciowych „wydłużoną charakterystyką”. Są stosowane wszędzie tam, gdzie chodzi o automatyczną regulację wzmocnienia, a więc przede wszystkim we wzmacniaczach wielkiej i pośredniej częstotliwości. W katalogach lamp elektronowych, pentody i tetrody regulacyjne mają podawane: napięcie siatki sterującej Us1, nachylenie charakterystyki S oraz oporność wewnętrzną Ri w dwóch pozycjach: od – do. (Współczynnik wzmocnienia tych lamp nie jest w ogóle podawany).
Przy zamianie tetrod i pentod regulacyjnych ograniczamy się do ewentualnych zmian:
- napięcia i prądu anodowego Ua lub Ia,
- napięcia siatki sterującej Us,
- napięcia i prądu siatki ekranowej Us2 i Is2,
- napięcia i prądu żarzenia Uż i Iż,
- gniazdka lampowego
przy jednoczesnym pozostawieniu innych parametrów niezmienionych. - Tetrody i pentody mocy (zwane również strumieniowymi).
Różnią się one od lamp regulacyjnych i napięciowych dużą mocą admisyjną, a więc wartością prądu anodowego oraz wysokością napięcia anodowego. Przy zamianie tych lamp zwracamy uwagę przede wszystkim na:
- prąd anodowy Ia,
- napięcie anodowe Ua,
- oporność wyjściową Ra,
- moc admisyjną Pa,
- ujemne napięcie siatki sterującej Us1.
Inne dane, jak: napięcie i prąd siatki ekranowej, napięcie oraz prąd żarzenia, oporność wewnętrzna – nie odgrywają ważniejszej roli przy zamianie tetrod i pentod mocy. - Heptody, heksody i oktody.
Są to lampy wielosiatkowe używane w układach z przemianą częstotliwości jako lampy mieszające. Zamiana tych lamp jest trudna i nastręcza najwięcej kłopotów, gdyż nawet zamiana gniazdka lampowego lub zastosowanie cokołu przejściowego może już spowodować występowanie szkodliwych i trudnych do usunięcia sprzężeń. Dlatego lepiej ograniczać się tu w miarę możności do najprostszych tylko zmian:
- napięcia i prądu żarzenia Uż i Iż,
- napięcia i prądu poszczególnych siatek,
- napięcia i prądu anodowego Ua i Ia.
Na zmianę poszczególnych napięć i prądów trudno podać jeden „przepis”, zależy on bowiem od układu, w jakim pracują lampy.
Proste manipulacje przy zamianie lamp
Cokół przejściowy. Stosuje się go przy zamianie lamp o jednakowych danych, lecz różnych cokołach. Składa się on ze starego cokołu połączonego z odpowiadającym mu gniazdkiem nowej lampy. Przykłady takich połączeń podane są na rys.1. Wadą cokołów przejściowych jest możliwość powstawania złych styków oraz zwiększanie pojemności między elektrodami (specjalnie szkodliwe w odbiornikach KF i UKF).

Rys.1
Przecokołowanie lampy. Możemy je wykonać przez zdjęcie cokołu z nowej lampy i osadzenie jej na starym cokole (co nie zawsze się udaje, gdyż przy braku wprawy można łatwo uszkodzić szklaną bańkę nowej lampy lub zmienić połączenia elektrod). Nie pociąga to za sobą żadnych zmian w odbiorniku, o ile parametry lampy są takie same. Niestety nie wszystkie lampy można w ten sposób przecokołować, gdyż niektóre z nich nie posiadają zdejmowanych cokołów (lampy serii U, miniaturowe itd.).
Łatwiejszym i wygodniejszym sposobem jest przecokołowanie lampy bez zdejmowania cokołu. W tym celu lutujemy do nóżek nowej lampy druciki o średnicy około 0,5mm i długości 10cm, łącząc je z odpowiednimi nóżkami starego cokołu. Jeżeli druciki krzyżują się ze sobą, to nakładamy na nie rurkę izolacyjną. Zakładanie rurki izolacyjnej na wszystkie przewody nie jest wskazane ze względu na zmniejszenie oporności między elektrodami. Po przewleczeniu drucików przez otwory w starym cokole ściągamy je tak, ażeby cokół nowej lampy znajdował się jak najbliżej starego. Teraz lutujemy druciki do nóżek starego cokołu i okręcamy obydwa cokoły leukoplastem. Tak umocowaną lampę badamy, gdyż może mieć zwarcie pomiędzy elektrodami. Przy przecokołowaniu lamp należy pamiętać, że przewody siatki sterującej oraz anody powinny być od siebie jak najbardziej oddalone.
Przy zamianie starej lampy na nową o innym napięciu żarzenia zachodzi konieczność zmiany napięcia żarzenia lub prądu żarzenia. Jeżeli napięcie żarzenia nowej jest mniejsze od poprzednio stosowanej, to wystarczy włączyć szeregowo odpowiednio dobraną oporność obliczoną według wzoru:
(1)
gdzie:
Uż1 – napięcie żarzenia starej lampy w V,
Uż2 – napięcie żarzenia nowej lampy w V,
Iż – prąd żarzenia w A,
Rx – wielkość szukanej oporności w Ω.
Przykład. Zamiast pentody mocy typu 1S4 stosujemy lampę Tesla typu IL34. Lampa 1S4 ma: Uż=1,4V, Iż=0,1A, podczas gdy lampa IL34 ma: Uż=1,2V, Iż=0,06A. W tym przypadku dodatkowy opornik załączony szeregowo w obwód żarzenia powinien mieć:

Jeżeli nowa lampa ma większe napięcie żarzenia, to w odbiornikach zasilanych z sieci przez transformator trzeba albo dowinąć odpowiednią ilość zwojów, tak aby otrzymać odpowiednie napięcie, albo zastosować oddzielny dodatkowy transformator.
W odbiornikach „uniwersalnych” z lampami żarzonymi szeregowo, w przypadku zastosowania lampy o niższym napięciu żarzenia, włączamy szeregowo w obwód żarzenia opornik obliczony według wzoru (1). Jeżeli natomiast napięcie żarzenia nowej lampy jest wyższe, należy zmniejszyć oporność opornika redukcyjnego w obwodzie żarzenia o:
(2)
zachowując oznaczenia z poprzedniego wzoru.
Jeżeli przy zamianie lampy różne są prądy żarzenia, to mogą zachodzić dwa przypadki: prąd żarzenia jest albo mniejszy, albo większy. W pierwszym przypadku nie zwracamy na to żadnej uwagi, jeżeli lampa żarzona jest z transformatora, baterii lub akumulatora. Przy szeregowym łączeniu lamp, dla wyrównania prądu żarzenia należy równolegle do zacisków żarzenia nowej lampy podłączyć opornik o wartości obliczonej według wzoru:
(3)
gdzie:
Rx – oporność szukana w omach,
Iż – prąd żarzenia starej lampy w A,
Iż2 – prąd żarzenia nowej lampy w A.
Przykład. W odbiorniku zasilanym z sieci 120V mamy jednokierunkową lampę prostowniczą typu 25W4GT, której: Uż=25V, Iż=0,3A. Zastępujemy ją nową lampą typu 25X5 mającą: Uż=25V, Iż2=0,15A. Podstawiamy te wielkości do wzoru:

W zaokrągleniu przyjmujemy 165Ω.
W przypadku, gdy nowa lampa ma większy prąd żarzenia, to przy zasilaniu z transformatora, baterii lub akumulatora można zazwyczaj różnice te pominąć, gdyż nawet przy zasilaniu z transformatora można obciążyć go o około 10% ponad normę. Jeżeli lampy żarzone są szeregowo, napotykamy na większe trudności. Należy wtedy podnieść ogólny prąd żarzenia do wartości prądu żarzenia nowej lampy. W tym celu podłączamy do pozostałych, niezmienionych lamp dodatkowy opornik (rys.2) obliczony według wzoru:
(4)
gdzie:
Usieć – napięcie sieci w V,
Uż2 – napięcie żarzenia nowej lampy w V,
Iż2 – prąd żarzenia nowej lampy w A,
Iż – prąd żarzenia starej lampy w A,
Rx – oporność dodatkowa w Ω.

Rys. 2
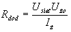
Zazwyczaj w odbiornikach tego typu stosowane są oporniki redukcyjne Rdod w obwodzie żarzenia. Jeżeli przy zamianie lamp o zwiększonym prądzie żarzenia należy zmienić wartość opornika redukcyjnego Rdod to wartość jego obliczamy według wzoru:
(4a)
gdzie:
Usieć – napięcie sieci zasilającej w V,
Użo – ogólne (łączne) napięcie żarzenia lamp w V,
Iż – prąd żarzenia lamp w A,
Rdod – oporność opornika redukcyjnego w obwodzie żarzenia w Ω.
Stratę mocy na powyższym oporniku obliczamy według wzoru:
(4b)
Przykład. W odbiorniku firmy „Schaleco Wunschkonzert GW” zasilanym z sieci 220V zamieniamy lampę prostowniczą VY2 (Uż=30V, Iż=0,05A). Obliczmy wartość opornika Rx dla wyrównania prądu żarzenia według wzoru 4:

Wobec tego, że ogólne napięcie żarzenia lamp wynosi 110V, a dotychczasowy prąd żarzenia Iż=0,05A, oporność opornika redukcyjnego wynosi:

Po zamianie lampy VY2 na UY41 oraz zastosowaniu dodatkowego opornika Rx (równoległego do pozostałych lamp) prąd w obwodzie żarzenia zwiększy się do 0,1A. W związku z tym oporność opornika redukcyjnego powinna wynosić:

Stratę mocy na powyższym oporniku obliczamy według wzoru 4b:

Zmiana napięcia na siatce ekranowej. Często się zdarza, że nowa lampa pracuje przy odmiennym napięciu siatki ekranowej. Napięcie to może być albo większe albo mniejsze od dotychczasowego. Jeżeli napięcie jest większe (przeważnie równe napięciu anodowemu), to wystarcza usunięcie opornika redukującego napięcie w obwodzie siatki (rys.3).

Rys. 3.
Zmniejszenie napięcia na siatceJeżeli nowa lampa ma mniejsze napięcie na siatce ekranowej, to zmniejszamy je do wielkości podanej w katalogu. W tym celu w obwód siatki ekranowej wstawiamy opornik, którego wartość obliczamy według wzoru:
(5)
gdzie:
Uamax – napięcie anodowe maksymalne w V,
Us2 – napięcie siatki ekranowej w V,
Is2 – prąd siatki ekranowej w V,
Rx – szukana oporność w Ω.
Przykład. Zamiast lampy typu EL1 (Ua=Us2=250V) stosujemy lampę Marcowi typ E1192 mającej takie same napięcie anodowe, lecz Us2=135V przy prądzie Is2=4,4mA, czyli 0,0044A. Podstawiamy te dane do wzoru 5 i otrzymujemy:

Zmiana napięcia na siatce sterującej. Ujemne napięcie na siatce sterującej jest uzyskiwane na oporniku w obwodzie katody (rys. 4) lub na ogólnym dzielniku napięcia dla kilku lamp w obwodzie zasilacza.

Rys. 4. Opornik katodowy
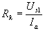
Wartość tego opornika obliczamy według wzoru:
(6)
gdzie:
Us1 – ujemne napięcie siatki sterującej w V,
Ia – prąd anodowy w A,
Rk – oporność opornika katodowego w Ω.
Przykład. Obliczyć wartość opornika dla lampy głośnikowej AL4, której Us1=-6V, przy prądzie anodowym Ia=36mA (czyli 0,036A). Podstawiamy dane do wzoru 6 i otrzymujemy:

Jeżeli oporność opornika w katodzie ma odchylenie nie większe od 10%, to można go pozostawić, jeżeli zaś przekracza tę granicę, trzeba go zastąpić nowym.
J.Fijałkowski