
Obliczanie uzwojeń transformatorów akustycznych
inż. Zbigniew Kowalski
Radioamator i Krótkofalowiec, Rok 11, Październik 1961r. Nr 10
Obliczanie transformatorów może być dokonane przy różnych założeniach, np. uzyskanie najmniejszego ciężaru, najniższych kosztów itd. Opisany poniżej sposób obliczania dotyczy uzyskania największej sprawności układu (rys. 1) zawierającego wzmacniacz, transformator i głośnik.
Dla wytworzenia niezbędnego ciśnienia dźwięku p konieczne jest doprowadzenie określonej mocy Ng do głośnika. Ze względu na straty w transformatorze, wzmacniacz powinien dostarczać do transformatora moc Nt>Ng, przy czym Nz=Uz.Iz, gdzie Uz i Iz oznaczają odpowiednio napięcie i natężenie prądu zasilania wzmacniacza.

Rys. 1. Schemat blokowy układu wyjściowego
Poruszam tu zagadnienie takiego zaprojektowania transformatora, przy którym uzyska się największą sprawność energetyczną części elektrycznej układu, a więc – maksymalny stosunek Ng:Nz, a nie największą sprawność samego transformatora dla prądów zmiennych. Ma to duże znaczenie szczególnie w układach tranzystorowych małej mocy, zasilanych z baterii o małej pojemności.
Niniejszy artykuł dotyczy transformatorów dwuuzwojeniowych, współpracujących ze wzmacniaczami klasy A. Ponieważ w akustycznych transformatorach małej mocy straty w rdzeniu są nieznaczne w stosunku do strat w uzwojeniach, dlatego też pominięto obliczanie rdzenia, które zainteresowani mogą znaleźć w ogólnie dostępnej literaturze. Innymi słowy, podana niżej metoda wyjaśnia, jak należy zaprojektować uzwojenia transformatora, gdy mamy już wybrany określony rdzeń.
PODSTAWY OGÓLNE
Rysunek 2 przedstawia uproszczony schemat elektryczny rozważanego układu dla średniego zakresu częstotliwości akustycznych.

Rys. 2. Uproszczony schemat elektryczny stopnia wyjściowego i transformatora
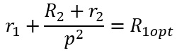
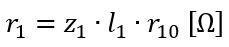
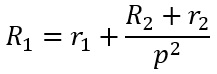
Uzwojenie pierwotne transformatora z1 ma indukcyjność L1 i oporność rzeczywistą r1 zaś uzwojenie wtórne z2 – oporność rzeczywistą r2. Przekładnia zwojowa transformatora pz=z2:z1. Przy należytym nawinięciu uzwojeń ich indukcyjności rozproszenia można pominąć i przekładnia elektryczna p transformatora (decydująca o współczynniku przenoszenia oporności z wtórnej na pierwotną stronę transformatora) jest z dostateczną dokładnością równa przekładni zwojowej pz. Do uzwojenia wtórnego jest włączona oporność obciążenia R2; wówczas oporność „widziana przez źródło prądu” od zacisków 1-2 uzwojenia pierwotnego wynosi:
(1)
Dla doprowadzenia maksymalnej mocy do obciążenia – oporność R1 powinna być równa optymalnej, wybranej oporności pracy wzmacniacza, która w warunkach pełnego wysterowania wynosi R1opt. Jednak nawet w przypadku dopasowania, tj. gdy:
(2)
Moc Ng dostarczana do głośnika przy niezmiennej mocy zasilania Nz i przy niezmiennym wysterowaniu zależy od wykonania uzwojeń transformatora. Jak wynika ze szczegółowych rozważań, maksimum tej mocy otrzymamy wówczas, gdy:
- Okno uzwojeniowe transformatora zostanie maksymalnie wykorzystane. Wynika stąd konieczność stosowania korpusu o możliwie cienkich ściankach, którego zewnętrzne brzegi będą jak najlepiej pasowały do okna wykroju blachy transformatorowej. Korpus ten powinien być całkowicie wypełniony drutem w cienkiej izolacji (emalii). Oczywiście, dla uzyskania możliwie dużego współczynnika wypełnienia miedzią, należy korpus uzwajać starannie, zwój przy zwoju, równymi warstwami.
- Okno uzwojeniowe transformatora zostanie optymalnie rozdzielone między uzwojenie pierwotne i wtórne.
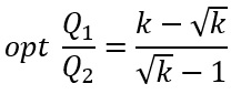
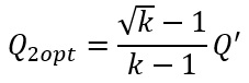
Przy podanych wyżej warunkach optymalny rozdział przestrzeni uzwojeniowej wyraża się zależnością:
(3)
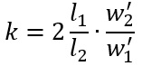
gdzie Q oznacza pole przekroju okna uzwojeniowego zajmowane przez odpowiednie uzwojenia, zaś k – współczynnik określony zależnością:
(4)
w której l oznacza średnią długość zwoju odpowiedniego uzwojenia, zaś w – współczynnik wypełnienia miedzią przestrzeni uzwojeniowej.
Jak to później wykażę, optymalny rozdział przestrzeni uzwojeniowej może dość znacznie odbiegać od ogólnie przyjętej zasady: po połowie pozostającego do dyspozycji miejsca na każde z uzwojeń.
Uzwojenia oblicza się metodą kolejnych przybliżeń. Gdy po raz pierwszy projektuje się transformator danego rzędu wielkości, to zazwyczaj konieczne jest obliczanie dwukrotne, a niekiedy nawet trzykrotne.
OBLICZANIE W PIERWSZYM PRZYBLIŻENIU
Niezbędnymi danymi wyjściowymi są tu następujące parametry:
- optymalna oporność pracy wzmacniacza R1opt [Ω]
- znamionowa oporność obciążenia R2 [Ω]
- dolna częstotliwość fd [Hz] pasma użytecznie przenoszonego przez transformator
- przekrój okna uzwojeniowego Q [mm2]
- średnia długość zwoju l [m]
- wskaźnik indukcyjności rdzenia wyrażony wzorem:
(5)
(ustalony doświadczalnie dla każdego typu rdzenia przez pomiar indukcyjności uzwojenia o określonej liczbie zwojów), lub odpowiadające parametry, jak: skuteczna przenikalność rdzenia μ, czynny przekrój rdzenia F [cm2] oraz średnia długość drogi magnetycznej m [cm]; wówczas:
(6)
Dla stalowo-krzemowych blach transformatorowych μ≈350 i wówczas dla rdzenia bez szczeliny mamy:
(7)
Przebieg obliczeń jest następujący:
- Określamy wymaganą indukcyjność uzwojenia pierwotnego:
(8)
- Określamy wymaganą liczbę zwojów uzwojenia pierwotnego
(9)
- Przyjmując w pierwszym przybliżeniu dla obu uzwojeń równe współczynniki wypełnienia miedzią: w1=w2=w oraz równe średnie długości zwojów l1=l2=l, mamy z równania (4)
(10)
zaś z równania (3):
(11)
- Przyjmując w pierwszym przybliżeniu wartość wyrażonego w procentach współczynnika wypełnienia miedzią w (dla dobrze nawiniętych uzwojeń bez przekładania warstw papierem, w odniesieniu do całego okna uzwojeniowego wartość ta dla małych transformatorów wynosi 30÷40%), obliczamy optymalną średnicę drutu uzwojenia pierwotnego:
(12)
- Z tablicy 1 wyznaczamy najbardziej zbliżoną średnicę drutu:
(13)
oraz odpowiadającą mu jednostkową oporność r10 [Ω/m], a następnie obliczamy oporność uzwojenia pierwotnego:
(14)
- Obliczamy przekładnię projektowanego transformatora z zależności:
(15)
oraz liczbę zwojów uzwojenia wtórnego:
(16)
- Obliczamy optymalną średnicę drutu uzwojenia wtórnego:
(17)
- Z tablicy 1 wyznaczamy najbardziej zbliżoną średnicę drutu:
(18)
Przyjmując niezbyt duży współczynnik w można już zaprojektowane uzwojenia nawinąć; trzeba się jednak liczyć z tym, że przestrzeń uzwojeniowa w wykonanym transformatorze będzie nie całkiem wykorzystana, jak również z tym, że przy zbyt dużym w uzwojenia mogą się nie zmieścić. Dlatego też celowe będzie przeprowadzenie obliczeń w drugim przybliżeniu.
TABLICA 1
Dane obliczeniowe dla miedzianych drutów nawojowych
| d[mm] | r0[Ω/m] | wmax[%] | d[mm] | r0[Ω/m] | wmax[%] |
|
0,08 |
3,445 2,691 2,196 1,815 1,524 1,299 1,120 0,976 0,857 0,760 0,677 0,608 0,549 0,498 0,454 0,415 0,381 0,351 |
55,4 57,2 59,1 56,2 57,3 59,1 60,2 61,3 61,9 62,5 63,6 64,2 64,8 65,5 66,0 66,7 67,0 67,2 |
0,26 0,27 0,28 0,29 0,30 0,35 0,40 0,45 0,50 0,55 0,60 0,65 0,70 0,75 0,80 0,85 0,90 0,95 |
0,3250 0,3010 0,2800 0,2610 0,2440 0,1790 0,1270 0,1080 0,0878 0,0726 0,0610 0,0520 0,0448 0,0390 0,0343 0,0304 0,0271 0,0243 |
67,8 68,1 64,0 64,3 64,8 63,1 64,8 63,6 64,8 66,0 64,8 64,0 64,8 64,1 66,2 67,0 67,6 68,0 |
Oznaczenia: d – średnica drutu gołego; r0 – oporność rzeczywista 1m drutu w temp. 20oC; wmax – maksymalny współczynnik wypełnienia rzeczywistej przestrzeni uzwojeniowej drutem w emalii
OBLICZANIE W DRUGIM PRZYBLIŻENIU
Podana tu metoda oparta jest na odniesieniu współczynnik wypełnienia miedzią do rzeczywistego przekroju Q’ uzwojenia. Konieczne jest zatem dokładne określenie wartości Q’ (np. przez pomiar wewnętrznych wymiarów kanału uzwojeniowego korpusu a×b [mm2] a następnie odjęcie powierzchni przekroju dodatkowej izolacji zewnętrznej i ewentualnie międzyuzwojeniowej.
Mając dane średnice drutu uzwojeń, orientacyjnie obliczone z równań (13) i (18), można wyznaczyć z tablicy 1 maksymalne współczynniki wypełnienia miedzią w’ rzeczywistej przestrzeni uzwojeniowej Q’.
Obliczenia w drugim przybliżeniu wymagają również określenia średnich długości zwojów l1 i l2.
Przebieg obliczeń jest następujący:
- Mając dane l1 i l2 oraz w1’ i w2’ obliczamy:
(4’)
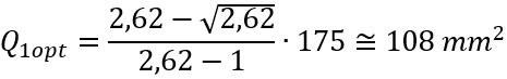
- Obliczamy optymalny przekrój uzwojenia pierwotnego:
(19)
- Mając dane z1 ze wzoru (9), obliczamy optymalną średnicę drutu uzwojenia pierwotnego:
(20)
- Z tablicy 1 wyznaczamy najbardziej zbliżoną średnicę drutu, spełniającą nierówność (13) oraz odpowiadającą mu jednostkową oporność r10, a następnie obliczamy oporność uzwojenia pierwotnego z równania (14).
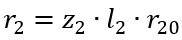
- Po wyznaczeniu z równania (3) optymalnego rozdziału przestrzeni uzwojeniowej, obliczamy sprowadzoną (do pierwotnego) oporność uzwojenia wtórnego z zależności:
(21)
- Obliczamy przekładnię projektowanego transformatora
(22)
a następnie liczbę zwojów uzwojenia wtórnego z równania (16).
- Obliczamy optymalny przekrój uzwojenia wtórnego:
(23)
- Obliczamy optymalną średnicę drutu uzwojenia wtórnego:
(24)
- Z tablicy 1 wyznaczamy najbardziej zbliżoną średnicę drutu spełniającą nierówność (18) oraz odpowiadającą mu jednostkową oporność r20, a następnie obliczamy oporność uzwojenia wtórnego:
(25)
Przy obliczeniach w trzecim przybliżeniu sprawdzamy przekładnię transformatora ze wzoru:
(26)
Jeżeli otrzymana wartość jest identyczna z wartością obliczoną wg równania (22), to wynik uznajemy za ostateczny. W przeciwnym razie powtarzamy obliczenia wg wytycznych podanych dla obliczeń w drugim przybliżeniu. Zazwyczaj ponowne przeliczanie uzwojeń okazuje się zbędne.
PRZYKŁADY OBLICZEŃ
Zadanie: zaprojektować transformator głośnikowy dopasowujący obwód wyjściowy tranzystora OC72 pracującego w klasie A do głośnika typu GD26-18/3. Napięcie baterii zasilającej Uz=12V; natężenie składowej stałej prądu kolektora Iz=4mA. Oporność pracy głośnika R2=21Ω. Dolna częstotliwość przenoszona fd=300Hz. Transformator ma być wykonany na rdzeniu M42, którego wskaźnik indukcyjności t=1300.
Obliczenie w pierwszym przybliżeniu:
![]()
z równania (8):
z równania (9):
Okno uzwojeniowe rdzenia M42 ma wymiary Q=9x30=270mm2; średnia długość zwoju transformatora l=0,08m. Zakładamy, że współczynnik wypełnienia w=35%. Wówczas:
z równania(12)

Przyjmując d1=0,2 mamy z tablicy 1:
z równania (14):
z równania (15):

z równania (16):
![]()
z równania (17):

przyjmujemy więc d2=0,55mm.
Nawinięte próbnie uzwojenia pozostawiły częściowo niewykorzystane miejsce na korpusie.
Obliczenie w drugim przybliżeniu:
Zakładając, że uzwojenie wtórne będzie nawinięte na spodzie, pierwotne zaś na wierzchu, mamy: l1≈0,09m; l2≈0,07m, a stąd:
Z tablicy 1 mamy dla d1=0,2; w1’=64,8%, zaś dla d2=0,55; w2’=66%; wobec tego:
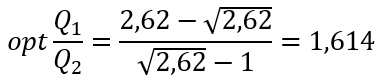
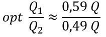
z równania (4’): k=2.1,285.1,018≈2,62.
Z dokładnych pomiarów przestrzeni uzwojeniowej wewnątrz typowego korpusu bakelitowego do rdzenia M42, po odliczeniu miejsca na izolację zewnętrzną uzwojeń oraz izolację międzyuzwojeniową, wynika wartość Q’≈175mm2.
z równania (19):
z równania (20):
Przyjmując z tabl. 1 d1=0,23mm, mamy r10=0,415Ω/m; wówczas:
z równania (14):
z równania (3):
z równania (21):
z równania (22):
z równania (16):
z równania (23):
z równania (24):
Z tablicy 1 przyjmujemy d2=0,6mm, dla której r20=0,061Ω/m; wówczas:
z równania (25):
Sprawdzamy przekładnię:
z równania (26)

a więc ostatecznie nawiniemy (rys. 3): na spodzie 140 zwojów DNE 0,6mm, a na wierzchu 1640 zwojów DNE 0,23mm. Izolacja z papieru o grubości 0,2mm między uzwojeniami oraz na wierzchu.

Rys. 3. Przekrój uzwojeń transformatora głośnikowego na bakelitowym korpusie do rdzenia M42 (na rysunku zaznaczono również okno uzwojeniowe blachy)
Przy starannym nawijaniu zaprojektowane uzwojenia zmieściły się na korpusie. Jeżeli przewiduje się niezbyt ścisłe nawinięcie uzwojeń, należy przyjmować wartości w’ mniejsze od podanych w tablicy 1.