
Transformator sieciowy
K.W
Radioamator i Krótkofalowiec, Rok 12, Listopad 1962r. Nr 11
Transformator sieciowy jest jednym z najdroższych i najbardziej kłopotliwych elementów składowych niemal każdej aparatury elektronicznej, zasilanej prądem z sieci elektroenergetycznej. Duża ilość kierowanych do Redakcji zapytań dotyczących wykonania transformatora sieciowego świadczy, że temat ten wciąż przysparza Czytelnikom sporo kłopotów i że stale jest aktualnym problemem. Dlatego też, zgodnie z zapowiedzią w poprzednim artykule, zapoznamy wszystkich początkujących radioamatorów ze sposobem samodzielnego obliczenia i wykonania transformatora sieciowego. Oczywiście opisane tu metody obliczeniowe zostały uproszczone do maksimum, co chyba każdy powita z zadowoleniem.
Jak wiadomo, transformator sieciowy składa się z rdzenia złożonego ze specjalnie kształtowanych blach oraz uzwojeń. Uzwojenia wykonywane z miedzianego drutu nawojowego w emalii, nawijane na korpusie (szpuli) dopasowanym rozmiarami do danego rdzenia.
Na rysunku 1 pokazany jest wygląd zewnętrzny jednego z takich transformatorów sieciowych oraz jego schemat ideowy.

Rys. 1. Schemat ideowy i wygląd zewnętrzny transformatora sieciowego
Jeżeli transformator załączymy do źródła prądu zmiennego (rysunek 2), wówczas w jego uzwojeniu pierwotnym popłynie prąd magnesujący rdzeń. Oczywiście indukowany zmiennym prądem strumień magnetyczny jest również zmienny. Ponieważ na tym rdzeniu jest nawinięte także wtórne uzwojenie, zmienny strumień magnetyczny będzie w nim indukował zmienną siłę elektromotoryczną.
Podłączywszy do wtórnego uzwojenia przyrząd pomiarowy (woltomierz) można stwierdzić istnienie napięcia i odczytać jego wartość. Jeżeli wtórne uzwojenie transformatora posiada mniejszą ilość zwojów niż pierwotne, to napięcie jego będzie niższe (mówimy, że transformator taki posiada "przekładnię obniżającą"). Jeśli natomiast wtórne uzwojenie ma większą ilość zwojów niż uzwojenie pierwotne, to indukowane w nim napięcie będzie wyższe niż po stronie pierwotnej; mówimy wówczas, że przekładnia jest podwyższająca. Łatwo jest domyślić się, że wielkość napięcia z uzwojenia "wtórnego" jest wprost proporcjonalna do ilości zwojów tego uzwojenia. Jeżeli więc, np. uzwojenie wtórne ma dwa razy więcej zwojów niż uzwojenie pierwotne, to napięcie na nim będzie dwukrotnie wyższe.

Rys. 2. Zasada działania transformatora
Do zasilania aparatury elektronicznej wymagane są napięcia o różnych wartościach. Czytelnicy, którzy zaznajomili się z "Kącikiem dla początkujących radioamatorów" zamieszczonym w poprzednim numerze miesięcznika pamiętają, że poza wysokim napięciem (przeważnie rzędu 200÷300V) wymagane jest również napięcie żarzenia dla lamp (przeważnie 6,3V) oraz niejednokrotnie napięcie żarzenia dla lampy prostowniczej. Napięć tych dostarcza nam transformator sieciowy. Wykonanie jego należy zawsze rozpocząć od dokonania prostego obliczenia, z którego wynikną wszystkie dane potrzebne dla jego konstrukcji.
W celu zaznajomienia Czytelników z uproszczoną metodą obliczania transformatora sieciowego, przedstawimy dwa konkretne przykłady,
Przykład 1
Potrzebny jest transformator do zasilania niewielkiego odbiornika radiofonicznego, posiadającego następujący zestaw lamp: ECH81, EBF89, ECL82. Jako lampę prostowniczą najwygodniej zastosować popularną EZ80, która mając katodę dobrze izolowaną od włókna żarzenia nie wymaga oddzielnego uzwojenia żarzeniowego. Schemat ideowy takiego zasilacza pokazany jest na rysunku 3. Jak widzimy, poza uzwojeniem pierwotnym ma on pojedyncze uzwojenie wysokonapięciowe (dla prostownika półokresowego) oraz uzwojenie żarzenia.

Rys. 3. Schemat ideowy zasilacza z lampą EZ80 i dane uzwojeń transformatora (przykład 1)
Obliczenie transformatora rozpoczniemy od obliczenia mocy pobieranej przez układ. W tym celu wykorzystujemy dane zaczerpnięte z katalogu lamp:
| Typ lampy | Uż | Iż | Ia | Ie | Uwagi |
| ECH81 | 6,3V — |
0,3A — |
3,5mA 4,5mA |
6,5mA — |
heptoda trioda |
| EBF89 | 6,3V | 0,3A | 9,0mA | 2,7mA | |
| ECL82 | 6,3V — |
0,8A — |
1,0mA 35,0mA |
— 7,0mA |
trioda pentoda |
| EZ80 | 6,3V | 0,6A | — | — | |
| Razem | 2,0A | 53,0mA | 16,2mA |
Moc potrzebna dla żarzenia lamp:
Pż=Uż⋅Iż=6,3V⋅2,0A=13W.
Moc potrzebna dla zasilania lamp:
Pzas=Uzas⋅Ia+e=200V⋅0,07A=14W.
Ze względu na przyjęty układ prostowania półokresowego (znaczne straty w prostowniku) wyliczoną moc wysokiego napięcia należy zwiększyć mnożąc przez współczynnik 1,2; stąd moc uzwojenia wysokiego napięcia będzie wynosić:
Pwn=14W⋅1,2=17W.
Suma mocy po stronie wtórnej transformatora:
Pwt=Pż+Pwn=13W+17W=30W.
Musimy pamiętać, że w transformatorze, i to zarówno w jego rdzeniu jak i w uzwojeniach występują zawsze straty mocy. Jest to zresztą ogólnie obowiązująca zasada, nie istnieją bowiem układy, które przetwarzałyby energię z jednej postaci w drugą, bez choćby najmniejszej straty. Stosunek mocy oddanej do pobranej w przypadku małych transformatorów sieciowych (czyli, jak to nazywają technicy - jego "sprawność") wynosi najwyżej około 0,8. Tak więc, ażeby pokryć wszystkie straty w transformatorze, uzwojenie pierwotne musi pobrać z sieci energetycznej moc odpowiednio większą. Dlatego też wyliczoną moc, występującą po stronie wtórnej, musimy przemnożyć przez współczynnik 1,2:
Pwt⋅1,2=30W⋅1,2=36W=Ppierw
Zatem moc pobierana z sieci będzie wynosiła 36W. Ta wartość posłuży nam do dalszych obliczeń.
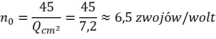
Z kolei obliczymy podstawową wielkość każdego transformatora, a mianowicie tzw. "przekrój rdzenia". Nieco zaawansowani w radiotechnice wiedzą już z pewnością, że mowa tu o przekroju środkowej kolumny rdzenia. Dla całkowitego wyjaśnienia tej prostej zresztą sprawy jest ona dodatkowo przedstawiona na rysunku 4.

Rys. 4. Przekrój rdzenia transformatora
Przekrój rdzenia transformatora znajdziemy z zależności:
Jak zatem widać, przekrój środkowej kolumny rdzenia, a więc i rozmiar, jest wprost proporcjonalny do mocy transformatora. Zastosowany współczynnik 1,2 jest konieczny ze względu na niezbędną izolację znajdującą się miedzy poszczególnymi blachami, z których składany jest rdzeń. Zajmuje ona również nieco miejsca, dlatego ogólny przekrój przyjmujemy nieco większy.
Teraz musimy dokonać wyboru odpowiedniego rdzenia. Oczywiście wykorzystujemy tutaj rdzenie fabryczne, np. ze starego "przepalonego" transformatora. Spotykane rozmiary blach są znormalizowane i pokrywają cały wachlarz mocy stosowanych w praktyce. Pomijamy szereg złożonych obliczeń i zakładamy, że projektowane uzwojenia zmieszczą się w "oknie" transformatora, jeśli tylko grubość pakietu blach będzie nieco większa od szerokości środkowej kolumny wybranego rdzenia. W naszym przypadku, stosując rdzeń o szerokości środkowej kolumny 25mm, powinniśmy złożyć z tych blach pakiet o grubości około 29mm. Stosunek grubości pakietu do szerokości środkowej kolumny wynosi wówczas:
29:25mm=1,16
Stosunek ten powinien się zawsze zawierać w granicach 1:1 do 1:2.
Następnie trzeba obliczyć ilość zwojów przypadającą na jeden wolt napięcia. Ilość tych zwojów, zależną od geometrycznych rozmiarów rdzenia, łatwo obliczyć z następującego wzoru:

Teraz już bez trudności znajdziemy dane poszczególnych uzwojeń: uzwojenie pierwotne dla napięcia 220V: 220⋅6,5≈1430 zwojów, uzwojenie żarzenia 6,3V: 6,3⋅6,5≈41 zwojów, uzwojenie wysokiego napięcia (200V): 200⋅6,5≈1300 zwojów.
Ostatnią czynnością będzie obliczenie odpowiednich średnic drutu, jakie musimy zastosować, aby transformator działał poprawnie. Jest to również proste, ponieważ korzystamy z następującej zależności:
![]()
gdzie:
d - średnica drutu w mm,
I - natężenie płynącego przez to uzwojenie prądu w amperach.
Znajdujemy:
uzwojenie żarzenia:
uzwojenie wysokiego napięcia:
![]()
Dla obliczenia średnicy drutu na uzwojenie pierwotne musimy przede wszystkim znaleźć wartość prądu płynącego przez to uzwojenie. Wynika ona z mocy pobieranej przez transformator oraz napięcia sieci:

Średnica drutu:
W ten sposób mamy wyliczone wszystkie zasadnicze dane naszego transformatora. Jak zauważyliśmy, całe obliczenie sprowadza się do bardzo prostych operacji, możliwych do przeprowadzenia nawet przez zupełnie niezaawansowanych radioamatorów.
Przykład 2
Odbiornik posiada lampy: ECC85, ECH81, EF89, EABC80, ECC83, 2×EL84, AZ12.
Moc potrzebna dla żarzenia lamp:
Pz1 = Uz ⋅ Iz = 6,3 ⋅ 3,25 = 21 W
Pz2 = Uz ⋅ Iz = 4,0 ⋅ 2,30 = 9 W
Moc potrzebna do zasilania lamp:
Pzas = Uzas ⋅ Izas = 250 V ⋅ 0,12 A = 30 W = Pwn
Ze względu na przyjęty dwupołówkowy układ prostowania nie stosujemy w tym przypadku współczynnika 1,2 (dla mocy zasilania lamp). Suma mocy po stronie wtórnej transformatora będzie więc wynosiła:
Pwt = Pz1 + Pz2 + Pwn = 21W + 9W + 30W = 60W
Stąd moc uzwojenia pierwotnego:
Ppierw = Pwt ⋅ 1,2 = 60W ⋅ 1,2 = 72W
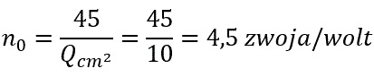
Obliczamy przekrój rdzenia:
![]()
Znajdujemy ilość zwojów przypadających na 1 wolt napięcia:

Uzwojenie pierwotne 220 woltów: 220 ⋅ 4,4 = 990 zwojów.
Uzwojenie wysokiego napięcia: 250 ⋅ 4,5 = 1125 zwojów.
Oczywiście dla przyjętego układu prostowania dwupołówkowego należy wykonać dwa takie uzwojenia po 1125 zwojów każde (rys. 5).
Uzwojenie żarzenia: 6,3 wolty : 6,3 ⋅ 4,5 = 29 zwojów.
Uzwojenie żarzenia 4 wolty: 4,0 ⋅ 4,5 = 18 zwojów.
Znajdujemy średnice poszczególnych drutów:
Uzwojenie żarzenia 6,3V:
![]()
Uzwojenie żarzenia 4,0V:
![]()
Uzwojenie wysokiego napięcia:
![]()
Uzwojenie pierwotne:
![]()

Rys. 5. Schemat ideowy zasilacza z lampą AZ12 (przykład 2)
Ze względu na fakt, że przy obciążeniu transformatora powstaną spadki napięcia uzwojeniach wtórnych (żarzenia i anodowych), wywołane przepływającym przez nie prądem, pożądane jest niewielkie zwiększenie obliczonej liczby zwojów w tych uzwojeniach. Można przyjąć, że spadki te nie wyniosą nawet 5% wartości napięć wtórnych, lecz dla ich pokrycie można poszczególne ilości zwojów w tych uzwojeniach zwiększyć w stosunku 1,05. W takim przypadku dla transformatora z przykładu 1 otrzymamy:
uzwojenie żarzenia: 41 zw. ⋅ 1,05 ≅ 43 zw.
uzwojenie wysokiego napięcia: 1300 zw. ⋅ 1,05 ≅ 1365 zw.
Dla transformatora z przykładu 2 otrzymamy:
uzwojenie żarzenia: 29 zw. ⋅ 1,05 ≅ 31 zw.
uzwojenie żarzenia: 18 zw. ⋅ 1,05 ≅ 19 zw.
uzwojenie wysokiego napięcia: 1125 zw. ⋅ 1,05 ≅ 1180 zw.
W tym przypadku każde z uzwojeń wtórnych wysokiego napięcia będzie miało po 1180 zwojów.
Liczba zwojów uzwojenia pierwotnego w obu przypadkach nie ulega zmianie.
Oczywiście omówioną wyżej poprawkę ilości zwojów wtórnych wprowadzamy do odliczeń tylko wtedy, gdy zależy nam na uzyskaniu dokładniejszych wyników.
Obliczenie danych elektrycznych transformatora jest pierwszym etapem pracy. Drugim zagadnieniem, dla wielu z pewnością trudniejszym, będzie praktyczne wykonanie transformatora. Do tego celu wymagana jest pewna praktyka radioamatorska, dlatego też podajemy kilka wskazówek, które mogą być przydatne dla początkujących.
Przede wszystkim należy wykonać korpus, na którym będą nawijane poszczególne uzwojenia. Korpus wycinamy zgodnie z rysunkiem 6a z preszpanu o grubości 1 ÷ 2 mm. Konstrukcja korpusu przedstawiona na rysunku 6b ma tę zaletę, że trzyma się po złożeniu sama. Oczywiście rozmiary poszczególnych części korpusu należy dostosować do rozmiarów zastosowanego rdzenia. Niejednokrotnie udaje się również wykorzystać stary korpus z uszkodzonego transformatora.

Rys. 6. Wykonanie korpusu i klocka
Z kolei, według rysunku 6c przygotowujemy drewniany, dość ściśle dopasowany klocek do wnętrza korpusu. W oś symetrii klocka wbijamy gwóźdź o grubości 2 ÷ 4 mm, a następnie obcinamy jego główkę. Po tych przygotowaniach zestawiamy improwizowaną "nawijarkę", jak to przedstawia rysunek 7. Urządzenie takie w bardzo znacznym stopniu ułatwia nawijanie transformatora, a przede wszystkim stosunkowo równo układa zwoje. Jeżeli nie mamy wiertarki oraz imadła, możemy również nawijać transformator po prostu w ręku, ale jest to w tym przypadku praca uciążliwa i nużąca.

Rys. 7. Amatorska "nawijarka" do transformatorów
/nawijając poszczególne uzwojenia należy oczywiście liczyć ilość układanych zwojów. Wykonując tę pracę za pomocą wiertarki bardzo wygodnie jest liczyć po prostu obroty rączki wiertarki, znacznie wolniejsze od obrotów zamocowanego w jej uchwycie korpusu. W tym celu należy przed rozpoczęciem nawijania doświadczalnie stwierdzić ilość obrotów uchwytu wiertarki na jeden obrót rączki. Stosunek ten zawiera się przeważnie w granicach 4 ÷ 6.
Poszczególne uzwojenia należy izolować od siebie przekładkami z kilku warstw papieru izolacyjnego. Poszczególne warstwy uzwojeń (z wyjątkiem uzwojeń żarzenia) należy izolować pomiędzy sobą bardzo cienkim papierem izolacyjnym, np. ze starego kondensatora blokowego.
Należy pamiętać, aby krańcowe zwoje każdej warstwy uzwojeń nie dochodziły do ścianki korpusu, gdyż może zaistnieć przypadek obsuwania się tych zwojów z warstwy do warstwy, co może spowodować uszkodzenie emalii i zwarcia niszczące transformator.
Końce poszczególnych uzwojeń nawijanych cienkim drutem należy wyprowadzić za pomocą izolowanego przewodu grubszego, najlepiej miękkiego, wielożyłowego. Sposób izolowania i wyprowadzenia końcówek transformatora najlepiej poznać, rozbierając jakiś uszkodzony transformator w wykonaniu fabrycznym.
Ostatnią czynnością przy wykonywaniu transformatora jest złożenie rdzenia. W przypadku transformatorów sieciowych poszczególne blaszki układamy na przemian w ten sposób, aby szczeliny wypadły raz z jednej, a raz z drugiej strony korpusu. Jednocześnie należy zwracać uwagę, aby wszystkie blaszki ułożone były izolacją w jednym kierunku. Złożony rdzeń należy ze wszystkich stron opukać młotkiem, aby doprowadzić do jak najbardziej równego ułożenia poszczególnych blaszek, po czym rdzeń dość silnie skręcamy śrubami.
Wykonany samodzielnie transformator należy teraz zbadać. W tym celu załączamy jego uzwojenie pierwotne do sieci, zwracając jednocześnie uwagę, aby pozostałe wolne końcówki transformatora nie były w jakikolwiek sposób zwarte. Transformator załączony do sieci nie powinien buczeć, co nieraz zdarza się przy niezbyt dokładnym jego złożeniu i słabym skręceniu rdzenia, a po 1 ÷ 2 godzinnej pracy na tak zwanym "biegu luzem" (bez żadnego obciążenia po wtórnej stronie) powinien być jedynie ewentualnie lekko ciepły.
Jeżeli rozporządzamy woltomierzem prądu zmiennego, możemy zmierzyć napięcia wtórnych uzwojeń mimo, że nie jest to konieczne, jeśli tylko nie popełniliśmy większego błędu podczas liczenia nawijania zwojów.
Na zakończenie należy podkreślić, że do nawijania transformatora należy w zasadzie stosować nieużywane druty nawojowe. Musimy pamiętać, że bardzo cienka powłoka emalii izolacyjnej, którą są pokrywane druty, jest dość krucha, zwłaszcza po jej lekkim nawet przegrzaniu. Dlatego też chcąc np. wykorzystać drut nawojowy jakiego rozebranego transformatora, należy zdejmować go ostrożnie aby uniknąć przykrych niespodzianek.
K.W.
(UWAGA: proszę wziąć pod uwagę, że obecnie napięcie sieciowe wynosi 230V a nie 220V. W trakcie obliczeń należy więc wprowadzić odpowiednią korektę. Nie powinno to stanowić żadnego problemu, gdyż zasady pozostają takie same)