
Transformator głośnikowy
Radioamator 1952/04 (część 1), 1952/06 (część 2), 1952/07 (część 3), 1952/08 (część 4)
inż. Czesław Klimczewski
Wielu z młodych radioamatorów posiada różnego rodzaju głośniki radiowe, które pragną zastosować w montowanych przez siebie odbiornikach. Jeżeli posiadany głośnik jest typu magnetycznego, a więc z drgającą żelazną "kotwiczką" umieszczoną między nabiegunnikami magnesu stałego, to włączenie takiego głośnika w aparat jest bardzo proste.
W takim przypadku końcówkę cewki głośnika oznaczoną znakiem "+" lub kolorem "czerwonym" łączy się z przewodem "plusowym" napięcia anodowego otrzymywanego z baterii anodowej lub zasilacza sieciowego. Drugą końcówkę cewki głośnika oznaczoną znakiem "-" lub kolorem niebieskim albo czarnym łączy się wówczas w podstawce lampowej z nóżką należącą do anody lampy głośnikowej. Schemat takiego połączenia pokazany jest na rys. 1.

Rys. 1.
Odwrotnie, niż podano, włączenie cewki głośnika do obwodu anodowego lampy głośnikowej może spowodować z czasem osłabienie magnesu stałego takiego głośnika, a co za tym idzie i zmniejszenie siły odtwarzanych audycji.
Głośniki typu magnetycznego można również włączać do aparatu radiowego i w inny sposób, a mianowicie według schematu pokazanego na rys. 2.

Rys. 2.
W tym przypadku, w obwód lampy głośnikowej włączony jest dławik małej częstotliwości (a nie ceweczka głośnika) o dużej indukcyjności np. 20 henrów. Końcówki ceweczki głośnikowej natomiast połączone są między uziemioną, metalową podstawą aparatu ("masą") i kondensator stały o pojemności około 2 mikrofaradów, poprzez który ceweczka głośnika otrzymuje z anody końcowej lampy napięcia zmienne o częstotliwościach akustycznych.
Przy stosowaniu tego schematu odpada konieczność zachowania odpowiedniego łączenia końcówek ceweczki głośnika magnetycznego z obwodem anodowym lampy głośnikowej, gdyż nie przepływa przez nią prąd stały z baterii lub zasilacza sieciowego, powodujący, w pewnych przypadkach, przy odwrotnym niż podano połączeniu - osłabienie magnesu stałego głośnika.
Jak widzimy, głośnik typu magnetycznego można włączać bezpośrednio w obwód anodowy końcowej lampy w aparacie. Możliwe to jest dlatego, że ceweczka takiego głośnika posiada duży opór elektryczny (duża ilość cieniutkiego drutu), który odpowiada pod względem wielkości oporowi wymaganemu przez obwód anodowy lampy. Oprócz ceweczki jest więc w przybliżeniu równy tzw. oporowi "pracy", przy którym lampa głośnikowa najsprawniej działa i oddaje największą, niezniekształconą moc akustyczną.
Inaczej sprawa przedstawia się przy głośnikach dynamicznych (z magnesem stałym tzw. "permanentem" lub ze "wzbudzeniem" za pomocą elektromagnesu). W tych głośnikach drga nie żelazna kotwiczka lecz lekka ceweczka posiadająca zaledwie kilkadziesiąt zwojów. Połączona jest ona z papierową membraną głośnika, której przekazuje swoje drgania. Opór takiej ceweczki dla przepływu prądów zmiennych o częstotliwościach akustycznych - jest niewielki (rzędu 10Ω ÷ 20Ω) i jako taki znacznie odbiega od wartości oporu "pracy" jakiego wymaga lampa głośnikowa (kilka tysięcy omów). W wyniku tego jasną jest sprawą, że nie można ceweczki głośnika dynamicznego włączać bezpośrednio w obwód anodowy lampy, gdyż lampa będzie pracować źle i odbiór będzie słaby lub nie uzyska się go wcale.
Ażeby głośnik dynamiczny mógł pracować należycie i, aby lampa głośnikowa mogła być w pełni wykorzystana trzeba, pomiędzy ceweczkę takiego głośnika i obwód anodowy lampy głośnikowej, włączyć odpowiedni transformator, który będzie miał za zadanie "elektryczne dopasowanie" wspomnianych wyżej elementów do siebie.
"Dopasowanie" to polega na tym, że całkowity opór jaki przedstawia sobą układ "transformator - ceweczka głośnika" dla przepływającego prądu w obwodzie anodowym lampy równy jest oporowi "pracy" wymaganemu przez lampę.
Na rys. 3 przedstawiony jest schemat połączeń głośnika dynamicznego z obwodem anodowym lampy głośnikowej.

Rys. 3.
Jak widać ze schematów, końce uzwojenia pierwotnego (P) o dużej ilości zwojów nawiniętych cienkim izolowanym drutem, włączone są dowolnie między przewód "plusowy" baterii anodowej lub zasilacza sieciowego, a nóżkę należącą do anody lampy głośnikowej, znajdującą się w podstawce lampowej. Końce uzwojenia wtórnego (S) o małej ilości zwojów nawiniętych grubym izolowanym drutem, połączone są z końcówkami cewki drgającej głośnika.
Zdarza się czasem, że radioamator pragnąc uzyskać "plastyczne" odtwarzanie dźwięków, które daje złudzenie muzyki "żywej" produkowanej przez orkiestrę zajmującą zwykle pewną powierzchnię estrady, ma zamiar zainstalować dwa głośniki pracujące równocześnie.
Wówczas najczęściej stosuje się do odtwarzania tonów niskich głośnik o dużej średnicy papierowej membrany, do odtwarzania zaś tonów wysokich - głośnik o małej średnicy membrany.
Głośnik o małej średnicy membrany używany jest przeważnie bez transformatora i włącza się go do obwodu anodowego lampy przez kondensator stały 'C" o pojemności elektrycznej około 1mF ÷ 2mF w sposób pokazany na rys. 4.

Rys. 4.
Warto jeszcze zaznaczyć, że oba te głośniki mogą być wówczas umocowane do ekranu wykonanego z klejonki (dykty) i rozstawione tak, jak pokazano na rys. 5.

Rys. 5
Nabywane w sklepie głośniki dynamiczne posiadają najczęściej przymocowany transformator do ich metalowej obudowy. Może się jednak zdarzyć, że radioamator posiada głośnik bez takiego transformatora, a wówczas musi go dokupić lub wykonać samemu.
Sposób obliczenia i wykonania transformatorka głośnikowego według opisu podanego niżej nie powinien przedstawiać specjalnej trudności dla mniej zaawansowanego radioamatora.
b) Sposób obliczenia transformatora głośnikowego.
Wiemy już, że największa i najmniej zniekształcona moc akustyczna wydzielana z lampy głośnikowej i odtwarzana przez głośnik ma miejsce wówczas, gdy tzw. "najkorzystniejszy opór zewnętrzny lampy" (opór "pracy") - nazwijmy go - Rz równy jest oporowi cewki głośnika - Rg.
Rz = Rg w omach.
Jeżeli głośnik jest dynamiczny, a więc gdy jego ceweczka posiada mały opór elektryczny, wówczas należy zastosować transformator o przekładni "n", przy pomocy którego dopasowuje się opór ceweczki głośnika do oporu zewnętrznego lampy.
Dopasowanie takie można otrzymać na podstawie wzoru:
Rz = Rg . n2 w omach,
gdzie:
- Rz - najkorzystniejszy opór pracy lampy wyrażony w omach (opór znajdujący się w obwodzie anodowym lampy);
- Rg - opór ceweczki głośnika w omach;
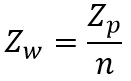
- n - przekładnia transformatora głośnikowego (stosunek ilości zwojów uzwojenia pierwotnego - "Zp" do ilości zwojów uzwojenia wtórnego - "Zw").
Przekształcając ten wzór otrzyma się nowy wzór na przekładnię transformatora głośnikowego, który będziemy stosować w dalszych naszych obliczeniach (rys. 6).

gdzie:
- oznaczenia Rz, Rg, n - są takie same, jak w wyżej podanym wzorze;
- Zp - ilość zwojów uzwojenia pierwotnego (od strony anody lampy głośnikowej);
- Zw - ilość zwojów uzwojenia wtórnego (od strony ceweczki drgającej głośnika).

Rys. 6.
Opory Rz i Rg nie są jednak oporami tzw. "omowymi", które mierzy się przy pomocy prądu stałego. Nas interesują opory jakie stawiają uzwojenia transformatora podczas przepływu przez nie prądu zmiennego o częstotliwościach akustycznych. Ponieważ prąd zmienny będący elektrycznym odpowiednikiem dźwięków mowy i muzyki, posiada szeroką wstęgę częstotliwości (od około 16 do około 15000 okresów/sekundę) przeto do badań i obliczeń przyjęto stosować zwykle częstotliwość równą 1000 okresów/sekundę, jako częstotliwość średnią najczęściej spotykanych dźwięków.
Opór Rz, który odczytujemy z tabeli lampowej podającej charakterystyczne wartości elektryczne poszczególnych lamp jest za tym oporem dla przepływu prądu o częstotliwości 1000 okresów/sekundę (np. dla lampy typu AL4 - opór ten wynosi 7000 omów). Podobnie opór ceweczki głośnika dynamicznego mierzy się przy takim samym prądzie. Opór ten można przyjąć jako równy 5 do 20 omów, zależnie od typu i wielkości głośnika. Czym większy głośnik i czym większa jego moc opór ceweczki drgającej jest mniejszy.
Dla najczęściej stosowanego głośnika w aparacie radiowym można przyjąć, że opór ceweczki drgającej równa się średnio - 10 omów.
Znając najkorzystniejszy opór zewnętrzny pracy lampy (z katalogu lampowego lub tabelki podanej na końcu artykułu) oraz, mając przyjęty opór ceweczki (np. 10 omów) można już obliczyć przekładnię transformatora głośnikowego, czyli stosunek jego ilości zwojów, które trzeba nawinąć na uzwojeniu pierwotnym ("Zp") do ilości zwojów - na uzwojeniu wtórnym ("Zw").
Jeżeli posiadamy w aparacie radiowym końcową lampę np. typu AL4 to przekładnia transformatora wynosić wówczas będzie na podstawie wzoru 1:

Widzimy zatem, że stosunek zwojów w naszym przypadku wyniesie:
Zp = n · Zw = 27 · Zw,
a więc: w uzwojeniu pierwotnym musi być 27 razy więcej zwojów, jak w uzwojeniu wtórnym.
W następnym numerze naszego pisma podany zostanie dalszy sposób obliczania transformatorów głośnikowych.
Radioamator 1952/06
W poprzednim numerze pisma podany został wzór, na podstawie którego można obliczyć konieczną "przekładnię" transformatora głośnikowego, a więc stosunek ilości zwojów (Zp) nawiniętych na uzwojeniu pierwotnym do ilości zwojów (Zw), jakie powinny znajdować się na uzwojeniu wtórnym. W przypadku znajdującej się w odbiorniku lampy głośnikowej typu AL4 i założonego oporu uzwojenia drgającej ceweczki głośnika dynamicznego - wartości 10 omów (dla prądu zmiennego o częstotliwości 1000 okresów/sekundę) "przekładnia" transformatora, a więc i wymieniony wyżej stosunek ilości zwojów znajdujących się w uzwojeniach tego transformatora, wynieść powinien 27.
Przystępując do dalszego obliczania transformatora należy znać potrzebny przekrój środkowej kolumny rdzenia żelaznego składającego się z blaszek izolowanych z jednej strony (boku) lakierem, szelakiem lub bibułką. Na kolumnie tej znajduje się preszpanowa szpulka (karkas) z nawiniętymi uzwojeniami.

Rys. 7.
Projektowanie transformatora może być przeprowadzone w dwóch alternatywach, a mianowicie wówczas, gdy oblicza się przekrój rdzenia w zależności od "mocy" lampy głośnikowej, a następnie rdzeń o takim przekroju ma się nabyć lub wykonać, i druga - gdy posiada się już gotowy rdzeń. W tym drugim przypadku obliczenie polega na sprawdzeniu czy przekrój posiadanego rdzenia jest równy obliczonemu lub większy - rdzeń taki można zastosować do wykonania transformatora. W tym przypadku do dalszych obliczeń przyjmuje się rzeczywisty przekrój rdzenia.
Jeżeli przekrój rdzenia (jego środkowej kolumny) jest mniejszy niż wynika z obliczenia - lepiej go nie używać do wykonania transformatora, gdyż głośnik wówczas będzie pracował mniej sprawnie, tak pod względem wierności odtwarzanych dźwięków, jak i siły głosu.
Przekrój żelaza rdzenia w cm2 zależny jest od mocy transformatora i oblicza się go według wzoru:
![]()
gdzie:
- Sż - przekrój żelaza rdzenia (bez uwzględnienia izolacji na bokach blaszek) wyrażony w cm2,
- P - moc oddawana przez transformator wyrażana w watach,
- c - stały współczynnik zależny od gatunku używanej na rdzeń blachy; grubości blaszek składających się na jego wykonanie itp.
Współczynnik ten dla blaszek cienkich (np. 0,1 – 0,3 mm) i dobrym żelazie krzemowym wynosi c = 1,2 natomiast dla blaszek grubszych (np. 0,5 mm) i gorszym żelazie - c = 1,5. Przeciętnie można przyjmować do obliczenia współczynnik ten równy 1,3. Dla przykładu, który przeliczamy, w przypadku stosowania lampy typu AL4 (9-cio watowej), otrzyma się przekrój czystego żelaza w rdzeniu:
![]()
Ponieważ blaszki z których rdzeń się składa są izolowane z jednej strony lakierem lub bibułką, przeto wymiary, a więc i przekrój rdzenia zwiększy się o grubość tej izolacji. Zwiększenie przekroju rdzenia wyniesie od 10% do 15% przekroju czystego żelaza, z którego jest wykonany.
Rzeczywisty przekrój rdzenia wyniesie zatem:
![]()
Dla naszego przykładu otrzymamy więc, przyjmując grubszą powłokę izolacji zwiększającą przekrój rdzenia o około 15% - rzeczywisty przekrój rdzenia:
Srdz = 1,5 · 4 = 6 cm2.
Taki przekrój powinien posiadać również i wewnętrzny otwór preszpanowej szpuli (karkasu), na której nawinięte będą uzwojenia. Wiadomo jest, że przekrój rdzenia posiada kształt prostokąta lub kwadratu, a więc rzeczywisty jego przekrój wynikać będzie z pomnożenia przez siebie obu wymiarów boków prostopadłych wzajemnie.
Srdz = a · b cm2
gdzie: a i b - boki rdzenia mierzone w cm.

Rys. 8.
Radioamator najczęściej posiada już, lub może nabyć różnego rodzaju rdzenie transformatorowe. Projektując w tym przypadku transformator głośnikowy, należy obliczyć wymagany rzeczywisty przekrój rdzenia, a następnie w posiadanym lub nabywanym - należy zmierzyć prostopadłe do siebie boki środkowej kolumny (na niej są nawinięte uzwojenia), przemnożyć wymiary ich (w cm) przez siebie i sprawdzić czy przekrój mierzonego rdzenia odpowiada obliczonemu Srdz.
Jeżeli rdzeń przyjmuje się jako nadający się, to dla dalszego obliczenia transformatora trzeba znać przekrój czystego żelaza (Sż) w jego środkowej kolumnie. W tym celu od rzeczywistego przekroju rdzenia Srdz, obliczonego na podstawie pomiaru boków środkowej jego kolumny należy odjąć grubość izolacji blaszek, a więc wprowadzić współczynnik 1,1—1,5, a wówczas:

Mając już dobrany rdzeń pod względem jego przekroju, przystąpić można do dalszego obliczenia transformatora.
Następnym warunkiem określającym transformator głośnikowy jest jego indukcyjność. Warunkiem wiernego i silnego odtwarzania przez głośnik niskich tonów jest duża indukcyjność pierwotnego uzwojenia transformatora ten głośnik.
Indukcyjność (L1) pierwotnego uzwojenia transformatora głośnikowego określić można na podstawie wzoru:

lub

gdzie:
- L1 - indukcyjność mierzona w henrach (H).
- ωn = 2 · π · fn - pulsacja prądu przy częstotliwości fn.
- fn - najniższa częstotliwość tonów odtwarzanych przez głośnik bez zauważalnego osłabienia. Napięcia o tej częstotliwości powinny być przeniesione z uzwojenia pierwotnego (Zp), na uzwojenie wtórne (Zw). Częstotliwość tę można przyjąć jako równą 30 lub 50 okresów/sekundę.
- Rw - opór wewnętrzny lampy głośnikowej w warunkach normalnej pracy lampy (z katalogu).
- Rz - najkorzystniejszy opór pracy lampy głośnikowej (z katalogu). W przypadku stosowania lampy głośnikowej AL4, która w normalnych warunkach pracy (z katalogu), a więc przy napięciu na anodzie i siatce osłonnej wynoszącym 250 woltów, oporze katodowym równym 150 omów, zablokowanym kondensatorem elektrolitycznym o pojemności rzędu 20 mikrofaradów (napięcie pracy około 15 woltów), oraz przy oporze "upływowym" w obwodzie siatki sterującej równym około 0.8 Megoma - opór wewnętrzny Rw lampy AL4 wynosi 50,000 omów. Najkorzystniejszy opór pracy Rz dla tej lampy wynosi wówczas 7,000 omów.
Jeżeli transformator ma przenosić napięcia o częstotliwości fn np. 30 okresów/sekundę bez zauważalnego osłabienia tonów przez głośnik, to wówczas indukcyjność pierwotnego jego uzwojenia (L1) powinna wynosić:
![]()
Gdyby przyjęto do obliczenia fn = 50 okresów/sekundę, jak to często czynią konstruktorzy, to wówczas L1 wynosiłaby 19,6, czyli okrągło 20 henrów.
W podany wyżej sposób można obliczyć indukcyjność pierwotnego uzwojenia dla różnych typów lamp głośnikowych. Dane do obliczeń należy brać z katalogu lampowego. Napięcia na anodzie i siatce osłonnej lampy głośnikowej, znajdującej się w aparacie radiowym, można zmierzyć przy pomocy woltomierza na prąd stały posiadającego odpowiedni zakres napięć na skali. Drobne odchylenia od wartości podanych w katalogu lampowym są dopuszczalne.
W celu łatwiejszego obliczania transformatorów głośnikowych można przyjmować, że wartość indukcyjności ich uzwojeń pierwotnych (L1) wynosi 30 henrów bez względu na typ lampy głośnikowej. Pamiętać jednak należy, że indukcyjność ta nie może być mniejsza niż 20 henrów, gdyż inaczej będą zbyt osłabione niskie tony odtwarzane przez głośnik.
W następnym numerze pisma podany zostanie sposób obliczania ilości zwojów oraz średnic drutów nawijanych na uzwojeniach pierwotnych i wtórnych transformatorów.
Radioamator 1952/07
Wiedząc już jak oblicza się stosunek ilości zwojów jakie mają być nawinięte na pierwotnym uzwojeniu transformatora głośnikowego (Zp) do ilości zwojów w jego uzwojeniu wtórnym (Zw) czyli t. zw. "przekładnię", a także, jak oblicza się indukcyjność pierwotnego uzwojenia (L1), można przystąpić z kolei do dalszego obliczania, które doprowadzi do określenia potrzebnej ilości zwojów w poszczególnych uzwojeniach.
W tym celu potrzeba znać całkowitą objętość czynnego żelaza w rdzeniu. Objętość tę nazwijmy literą Vż.
Aby objętość Vż obliczyć, trzeba znać poszczególne wymiary rdzenia, na którym uzwojenia mają być nawinięte.
Rys. 9 pokazuje nam te wymiary.

Rys. 9.
Z rysunku 9 widzimy, że zewnętrzne wymiary rdzenia (w cm) określone są literami v- a, b, c; wymiary każdego "okna" zaś - d, h, c, przy czym "c" w obu przypadkach jest grubością rdzenia (wszystkich blaszek razem wziętych)..
Środkowa kolumna rdzenia posiada zwykle przekrój (a więc i wymiar "g") dwa razy większy niż kolumny boczne, ponieważ strumień magnetyczny wytwarzany w tej środkowej kolumnie (wskutek przepływu prądu przez uzwojenia umieszczone na niej) musi rozdzielić się w żelazie rdzenia na dwie równe części płynąc przez dwie boczne kolumny tak, że połowa strumienia płynie przez jedną, połowa zaś - przez drugą kolumnę.
Ażeby więc t. zw. "indukcja magnetyczna" we wszystkich kolumnach rdzenia miała wielkość ę samą, boczne kolumny jego mają przekrój dwa razy mniejszy, gdyż i strumień płynący przez nie ma tylko połowę wielkości strumienia płynącego w kolumnie środkowej. Wynika z tego, że wymiar n = g/2.
Obliczając objętość całego rdzenia trzeba jego powierzchnię pomnożyć przez grubość "c". Powierzchnia ta równa jest różnicy iloczynów z wymiarów zewnętrznych (a·b) i obu "okien" wyciętych w blaszkach, a więc 2·(h·d). Całkowita zatem powierzchnia rdzenia wynosi: a·b -2·(h·d). Wobec tego ogólna objętość rdzenia wyniesie (w cm3):
Vż = [a · b - 2 · (h · d)] · c
Ponieważ objętość czynnego (czystego) żelaza w rdzeniu jest mniejsza o 10 — 15% ze względu na izolację blaszek, z którego się on składa, przyjęto objętość czynnego żelaza w rdzeniu wyniesie:
![]()
W transformatorach głośnikowych włączanych w obwód anodowy ostatniej lampy wzmacniacza (mocy) aparatu, przepływa, oprócz prądu zmiennego o częstotliwościach akustycznych będących odpowiednikami dźwięków mowy i muzyki - również i prąd stały z zasilacza sieciowego lub baterii anodowej. Ten prąd stały nasyca rdzeń transformatora przez wytworzenie w nim strumienia magnetycznego o stałej wielkości co wpływa ujemnie na jego pracę. Powoduje to powstawanie skażeń odtwarzanych dźwięków przez głośnik. Aby to nasycenie zmniejszyć stosuje się zwykle, między środkową kolumną rdzenia i t. zw. "jarzmem", łączącym wszystkie kolumny razem - szczelinę powietrzną o długości "lp", lub - rdzeń składany z dwóch części: "jarzma" i drugiej - trzech kolumn połączonych drugim "jarzmem".
Rys. 10 pokazuje różnego rodzaju blaszki rdzeni transformatorowych.

Rys. 10.
Jak widać z rys. 10 strumień magnetyczny, przepływając w rdzeniu, napotyka na swej drodze albo szczelinę powietrzną "lp" lub dwie, które razem tworzą długość jej równą "lp". Warto przy tym zaznaczyć, że taką szczelinę powietrzną stosuje się tylko w transformatorach małej częstotliwości (np. głośnikowych) i dławikach, wówczas, gdy przez ich uzwojenie przepływa prąd stały. W transformatorach, w których prąd stały nie przepływa, szczeliny takiej nie potrzeba. Ma to miejsce np. w transformatorach sieciowych (dla zasilania prądem aparatów i wzmacniaczy), liniowych i głośnikowych, które przyłączane są do obwodu anodowego lampy poprzez dużej pojemności kondensator stały (patrz rys. 2 z nr. 4/1952 r.). W tym przypadku prąd stały zasilający anodę lampy dostarczany jest do niej poprzez specjalny dławik małej częstotliwości.
Dlatego też w transformatorach sieciowych blaszki rdzenia składa się w ten sposób, że szczeliny ustawione są na przemian (rys. 11), natomiast w transformatorach głośnikowych najczęściej w ten sposób, że szczeliny blaszek znajdują się wszystkie z jednej strony tworząc przerwę w kolumnie rdzenia (rys. 12).

Rys. 11.

Rys. 12.
Wielkość Ip tej szczeliny (jej długość) jest zależna jednak od wymiarów rdzenia, od których zależna jest również długość strumienia magnetycznego w żelazie Iź; objętości czynnego żelaza w tym rdzeniu Vż; własności żelaza (jego t. zw. "przenikliwości magnetycznej" dla przepływu strumienia magnetycznego); wielkości t. zw. "składowej stałej" prądu przepływającego przez nawinięte na nim uzwojenie (prąd stały z baterii lub zasilacza) oraz, od wielkości t. zw. "składowej zmiennej", a właściwie jej szczytowych impulsów będących elektrycznymi odpowiednikami mowy i muzyki.
Dla uproszczonego obliczania transformatorów głośnikowych opracowany został t. zw. wykres "Hanna" (od nazwiska autora), za pomocą którego łatwo można obliczyć tak długość szczeliny powietrznej Ip jak i ilość zwojów (zp) potrzebnych w uzwojeniu pierwotnym P.
Wykres ten przedstawiony jest na rys. 13.

Rys. 13.
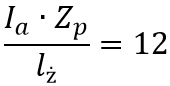
Z podanego wykresu widać, że zachodzi pewna zależność między wielkościami obliczonymi na podstawie stosunków:

w których:
- L1 - oznacza wielkość indukcyjności pierwotnego uzwojenia transformatora - mierzona w henrach (H),
- Ia - prąd anodowy lampy głośnikowej wyrażony w amperach (A) - odczytamy z tabeli lampowej,
- Vż - objętość czynnego żelaza (bez izolacji) w rdzeniu transformatora (w cm2),
- zp - ilość zwojów w uzwojeniu pierwotnym transformatora,
- Iż - średnią długość linii przebiegu strumienia magnetycznego w żelazie rdzenia (w cm),
- Ip - długość szczeliny powietrznej (w cm).
Jak widzimy z wykresu, na osi pionowej odmierzone są różne wielkości stosunków

na osi poziomej zaś - wielkości
![]()
Na krzywej wykresu wytypowane są różne wielkości stosunków Ip/Iż.
Stosunek Ip/Iż wynikający z krzywej wykresu pozwoli na obliczenie długości szczeliny powietrznej Ip, gdyż znana jest długość Iż na podstawie jej pomiaru w rdzeniu.
Z rys. 14 widać, że średnia długość linii magnetycznej lż przechodzi przez środek bocznej kolumny rdzenia.

Rys. 14.
Można zatem napisać biorąc pod uwagę, że strumień magnetyczny na rogach "okna" przebiega zaokrąglając się w kształcie koła o promieniu n/2, swą średnią drogę, wzór, na podstawie którego oblicza się średnią długość linii magnetycznej lż w żelazie rdzenia, a zatem:
![]()
![]()
Mając już obliczoną wielkość lż, można z wykresu "Hanna" określić ilość zwojów zp oraz długość szczeliny powietrznej lp.
Obliczenie ilości zwojów można przeprowadzać dla: rdzenia składanego z blaszek posiadających dwie części (część "jarzmową" i reszta składająca się z kolumn połączonych drugim "jarzmem\[') pozwalającym na dowolne ustawienie długości lp szczeliny powietrznej i - dla rdzenia posiadającego już szczelinę stałej długości.
W przypadku rdzenia składanego oblicza się jego objętość Vż i średnią długość strumienia magnetycznego lż. Następnie z kolei oblicza się stosunek

i odmierza go na osi pionowej wykresu Hanna.
Prowadząc z miejsca odmierzonego na tej osi linię poziomą (równoległa do poziomej osi wykresu) uzyskuje się przecięcie tej linii z krzywą, przez co znajduje się potrzebną wielkość stosunku lp/lż.
Z uzyskanego miejsca przecięcia linii poziomej z krzywą wykresu opuszcza się następnie pionową linię (prostopadłą do osi poziomej).
Miejsce przecięcia się tej pionowej linii z poziomą osią wykresu określi nam stosunek
![]()
Mając już znalezioną wielkość stosunku lp/lż, który nazwijmy K', oblicza się długość szczeliny powietrznej lp w zależności:
lp = K' . lż .... cm
Podobnie, mając daną wielkość stosunku
![]()
równą np. K'' - oraz zmienne Ia i lż, łatwo oblicza się ilość zwojów (zp), które potrzeba nawinąć w pierwotnym uzwojeniu transformatora, z zależności:

Znając "przekładnię" transformatora ("n") i ilość zwojów zp, oblicza się ilość zwojów (zw) jakie trzeba nawinąć we wtórnym jego uzwojeniu na podstawie zależności:
![]()
Dla poprzednio przytoczonego przykładu przypuśćmy, że posiadany rdzeń ma objętość czynnego żelaza równą Vż = 60 cm3, zaś średnia długość strumienia magnetycznego równa jest lż = 14 cm - co zostało obliczone na podstawie podanych rysunków i wzorów.
Z katalogu lampowego odczytana wartość prądu anodowego dla lampy AL4 w warunkach jej normalnej pracy wynosi Ia = 36 mA czyli 0,036 A. Dla przyjętej więc indukcyjności pierwotnego uzwojenia transformatora L1 = 30 H otrzymamy:
![]()
Dla tej wartości otrzymamy po przecięciu się linii poziomej z krzywą wykresu:
![]()
a zatem długość szczeliny powietrznej lp powinna wynosić:
lp = 0,00158.14 = 0,0224 cm = 0,22 mm
Spuszczając następnie prostopadłą z punktu na krzywej do osi poziomej, znajdujemy na niej wartość stosunku

Znając tę wartość można już obliczyć ilość zwojów, jakie muszą być nawinięte w pierwotnym uzwojeniu transformatora:

Widzimy więc, że obliczany transformator powinien posiadać szczeliną powietrzną o długości lp = 0,22 cm i ilość zwojów na pierwotnym uzwojeniu równą zp = 4700 zw.
Mając już obliczoną ilość zwojów uzwojenia pierwotnego (zp) łatwo znaleźć ilość zwojów potrzebnych w wtórnym (zw), opierając się na znanej przekładni transformatora, która w naszym przypadku wynosi n = 27. Wówczas:
![]()
W ten sposób obliczona została również i ilość zwojów uzwojenia wtórnego zw = 180 zw.
Gdyby przyjęto dla tego samego rdzenia transformatorowego indukcyjność pierwotnego uzwojenia nie 30 H lecz L1 = 20 H, to wówczas długość szczeliny powietrznej była by równa lp = 0,18 mm, zaś ilość zwojów potrzebnych na uzwojeniu pierwotnym zp = 3600, a na wtórnym - zw = 135.
Transformator taki nieco gorzej (słabiej) pracowałby przy przenoszeniu niskich częstotliwości akustycznych na głośnik, a zatem słabiej byłyby odtwarzane niskie tony przez membranę głośnika.
Czytelnik zechce sam sprawdzić według wykresu podane wyniki.
W następnym numerze pisma podany zostanie przykład obliczenia ilości zwojów w uzwojeniach transformatora głośnikowego w przypadku, gdy rdzeń jego posiada już stałą szczelinę o pewnej długości oraz - obliczenie średnic drutów potrzebnych do nawinięcia tych uzwojeń.
Radioamator 1952/08
W poprzednim numerze naszego pisma podany był sposób obliczania ilości zwojów potrzebnych do nawinięcia pierwotnego i wtórnego uzwojenia transformatora głośnikowego w przypadku, gdy rdzeń miał jarzmo odejmowane przez co można było regulować dowolnie długość szczeliny lp.
Jeżeli jednak gotowy rdzeń transformatora jest wykonany z jednego kawałka blaszki i posiada wyciętą już szczelinę o pewnej długości, to wówczas należy obliczenie ilości zwojów przeprowadzać w nieco inny sposób posiłkując się tymi samymi wzorami.
Załóżmy dla przykładu, że posiadany rdzeń ma wymiary zewnętrzne i "okna' takie same jak w poprzednim przypadku, lecz, że długość szczeliny lż jest inna i wynosi np. 0,3 mm, czyli 0,03 cm (nieco większa niż poprzednio). Ponieważ wymiary rdzenia nie zmieniły się, więc i objętość czynnego żelaza wynosi również Vż = 60 cm3, oraz długość strumienia magnetycznego w rdzeniu lż = 14 cm.
Powiedzmy dalej, że transformator ten ma pracować również z lampą AL4 (opór wewnętrzny lampy Rw = 50000 omów, zewnętrzny zaś 7000 omów), a więc i prąd anodowy lampy przepływający przez pierwotne uzwojenie transformatora wynosić będzie Ia = 36 mA czyli 0,036 Amp. Podobnie i ceweczka drgająca głośnika mieć będzie opór 15 omów, a więc i "przekładnia" transformatora wynosić będzie: n = 27.
Wymiary rdzenia przyjęto umyślnie takie same jak w przykładzie podanym poprzednio (z wyjątkiem szczeliny powietrznej), aby Czytelnik mógł porównać wyniki otrzymane z obliczenia obecnego z wynikami poprzednimi.
Mając lp i lż oblicza się przede wszystkim stosunek lp/lż. Wyniesie on w tym przypadku:

Następnie trzeba z punktu 0,0021 oznaczonego na krzywej Hanna, poprowadzić linię prostopadłą do pionowej osi wykresu

i odczytać wartość otrzymaną z ich przecięcia.
Wartość ta wynosi:

Mając powyższą wartość można już z niej obliczyć wielkość indukcyjności pierwotnego uzwojenia L1 i sprawdzić, czy jest ona większa (lub równa) od przyjętej, najmniejszej, 20Henrów, przy której to transformator dobrze jeszcze przekazuje najniższe częstotliwości akustyczne do ceweczki głośnika dynamicznego.
![]()
Jak widzimy rdzeń przyjętego transformatora nadaje się do użytku.
Ilość zwojów zp na uzwojeniu pierwotnym transformatora oblicza się następnie na podstawie wartości stosunku
![]()
który się otrzyma z przecięcia prostej prostopadłej do osi poziomej wykresu Hanna, spuszczonej z punktu 0,0021 na krzywej. Wartość ta wyniesie 16.
Zatem:

przyjmujemy: zp = 5200 zw.
Mając już obliczone ilości zwojów zp na pierwotnym uzwojeniu, znajduje się ilość zwojów zw potrzebnych w uzwojeniu wtórnym tego transformatora ze wzoru na "przekładnię":

Z wyników obliczeń widzimy, że przy zwiększeniu szczeliny lp z 0,2 mm na 0,3 mm - ilości zwojów wzrosły w pierwotnym uzwojeniu z 4700 na 5200, oraz we wtórnym - z 180 na 190. Jak widzimy nie jest korzystnie zbyt powiększać długość szczeliny powietrznej, gdyż wówczas ilości zwojów zwiększają się i mogą nie zmieścić się w "oknie" rdzenia.
W podany wyżej sposób można obliczyć ilości zwojów dla każdego rdzenia transformatorowego posiadającego już szczelinę powietrzną.
Długość szczeliny można zmierzyć np. pry pomocy listków papieru wkładanych w nią i późniejszym zmierzeniem mikromierzem łącznej ich grubości.
Mając obliczone już ilości zwojów przystępuje się do ustalenia średnicy przewodów nawijanych w uzwojeniu pierwotnym i wtórnym.
Aby te średnice obliczyć trzeba założyć odpowiednią "gęstość" prądu przepływającego przez te zwojenia. Gęstość prądu przyjmuje się w transformatorach od 0,5 A/mm2 do 2 A/mm2 i oznacza się ją literą "j". Czym gęstość prądu będzie większa, tym transformator mniej będzie się nagrzewał, a więc będzie miał mniejsze straty na wydzielane ciepło i tym samym posiadać będzie większą "sprawność".
Ze względu jednak na konieczność pomieszczenia wszystkich zwojów obu uzwojeń w "oknach" transformatorowego rdzenia, nie należy przyjmować zbyt małej gęstości prądu. W naszym przypadku przyjmiemy ją o wartości j = 1,5 A/mm2.
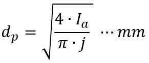
Średnicę drutu użytego do nawinięcia pierwotnego uzwojenia oblicza się wg wzoru:

w którym:
- dp = średnica drutu w mm,
- Ia - prąd anodowy płynący przez lampę wyrażony w A,
- j - gęstość prądu wyrażona w A/mm2,
- π - stała liczba 3,14.
Dla obliczanego przykładu średnica drutu dp wyniesie:

Ponieważ drutu o tej średnicy nie ma, przyjmuje się najbliższą, znormalizowaną, stosowaną powszechnie:
dp = 0,18 mm
Średnicę drutu dw potrzebnego do nawinięcia uzwojenia wtórnego oblicza się wg wzoru, w który wchodzi wielkość "przekładni":
![]()
Podstawiając znane wielkości do tego wzoru otrzyma się średnicę drutu dw równą:
![]()
Przyjmuje się podobnie znormalizowaną średnicę równą dw = 0,9 mm.
Przed przystąpieniem do nawijania transformatora należy jeszcze sprawdzić czy uzwojenia zmieszczą się w "oknie" rdzenia. Wpływają na to wymiary szkieletu wykonanego z preszpanu lub tektury, na którym to nawijane będą te uzwojenia. Należy przeto pomierzyć jego wewnętrzną długość i wewnętrzną wysokość krawędzi (głębokość). Po wymnożeniu tych wartości przez siebie znajdzie się pole przekroju szpuli, które ma być wypełnione miedzią (emaliowanymi drutami miedzianymi). Pole to, ze względu na kształt kołowy drutu, a także na obecność izolacji międzywarstwowej i międzyuzwojeniowej - nie jest wyzyskane całkowicie, lecz tylko w części. Wielkość wyzyskanego przekroju przyjmuje się na około 0,6 - 0,7 obliczonego. Liczba ta nazywa się "spółczynnikiem zapełnienia".
Mając więc obliczone pole przekroju Pszp mnoży się go np. przez 0,7 i znajduje się w ten sposób pole Pf faktycznie wykorzystane przez drut i przekładki izolacyjne (rys, 15).

Rys. 15.
Pf = Pszp . 0,7 = A . B . 0,7 mm2
Z kolei należy przystąpić do obliczenia przekroju miedzi uzwojeń, aby sprawdzić czy ona się zmieści w obliczonym polu szpuli.
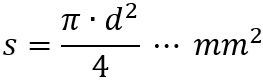
Przekroje drutów oblicza się według wzoru:

w którym:
- S - przekrój przewodnika w mm2,
- d - obliczona średnica przewodnika (drutu) w mm,
- π - liczba stała = 3,14.
Wzór ten stosuje się tak dla jednej jak i drugiej średnicy drutów.

Mając już obliczone przekroje drutów stosowanych na pierwotne i na wtórne uzwojenie transformatora, mnoży się je odpowiednio przez ilości zwojów w tych uzwojeniach, przez co otrzymuje się łączny przekrój miedzi dla uzwojenia pierwotnego i dla wtórnego. Po dodaniu tych łącznych przekrojów do siebie, otrzymuje się całkowity przekrój miedzi w obu uzwojeniach transformatora.
Ten całkowity przekrój miedzi wyrazić można wg wzoru:
![]()
Aby uzwojenia zmieściły się na szpuli, to pole zajęte przez całkowity przekrój miedzi nie może być większe od obliczonego pola faktycznie wykorzystywanego w tej szpuli (po uwzgl. "spółcz. zapełn.").
Jeżeli okaże się, że pole zajmowane przez miedź jest większe niż dopuszczalne, uwzględniające "spółczynnik zapełnienia" szpuli, to wówczas należy, o ile można, ścienić ścianki szpuli i przekładki z bibułki, a jeżeli to nie wystarczy - obliczyć ponownie średnice drutów zamieniając je na nieco mniejsze przez przyjęcie większej gęstości prądu "j". Można to wykonać również "na oko" przyjmując średnice te o jeden stopień mniejsze od obliczonych, posługując się przy tym znormalizowanymi wymiarami średnic drutów nawojowych w emalii.
Uzwojenia powinny być nawijane starannie, aby zwoje leżały ściśle jeden obok drugiego i nie skrzyżowały się, gdyż w tym przypadku łatwo na skrzyżowaniu uszkadza się emalia, następuje wówczas zwarcie zwojów i transformator staje się bezużyteczny. Ścisłe i staranne nawinięcie zwojów oraz silne skręcenie śrubami blach transformatora - zapewni dobrą jego pracę i nie dopuści do powstającego w nim "grania" w takt drgań prądu przepływającego przez uzwojenia.
Wiemy już, że chcąc otrzymać dobre odtwarzanie przez głośnik niskich tonów, to pierwotne uzwojenie powinno mieć indukcyjność powyżej 20 Henrów. Dla dobrego odtwarzania tonów wysokich - transformator powinien posiadać jak najmniejsze rozproszenie strumienia magnetycznego i jak najmniejszą pojemność elektryczną między uzwojeniami (wewnętrzną).
Aby zmniejszyć pojemność wewnętrzną, niektóre transformatory nawija się ""sekcyjnie" dzieląc każde uzwojenie na kilka części i nawija się je na szpulkach, które następnie nasuwa się na rdzeń na przemian - raz uzwojenie pierwotne, raz - wtórne i tak dalej. Ponieważ wykonanie w ten sposób uzwojeń jest dość trudne, gdyż trzeba bardzo uważać, aby kierunki nawijania wszystkich cewek były zgodne i aby nie pomylić kolejności łączenia ze sobą końców ceweczek każdego uzwojenia - przeto ten sposób wykonania polecić można tylko dobrze zaawansowanemu w radiotechnice amatorowi.
Normalne nawinięcie transformatora głośnikowego wykonuje się w ten sposób, że najpierw (od strony środkowej kolumny rdzenia) nawija się uzwojenie pierwotne (cienki drut), a następnie na nim - uzwojenie wtórne (gruby drut) - rys. 16.

Rys. 16.
Aby lepiej dostosować wtórne uzwojenie transformatora do pracy z ceweczką drgającą głośnika dynamicznego, której opór może wahać się w granicach 5 - 15 Ω, proponuje się wykonać w tym uzwojeniu odczepy na około ½ i ¾ ilości zwojów. Przy wyprowadzeniu odczepów na zewnątrz szpuli należy uważać, aby nie spowodować zwarcia ich ze zwojami; należy je w tych miejscach specjalnie osłonić naparafinowaną bibułką i wykonywać najlepiej przy samej ściance szpuli (z ostatniego zwoju leżącego przy ściance szpuli).
Podobnie, dla zmniejszenia rozproszenia, a tym samym polepszenia działania transformatora przy przekazywaniu na głośnik napięć o częstotliwościach akustycznych odpowiadających wysokim tonom, proponuje się uzwojenia nawijać w ten sposób, że od strony rdzenia układa się najpierw ½ ilości zwojów uzwojenia wtórnego, na nim dopiero uzwojenie pierwotne i na tym - resztę zwojów uzwojenia wtórnego. W ten sposób uzwojenie wtórne jest dzielone (składa się z 2 części), zaś uzwojenie pierwotne znajduje się w środku, pomiędzy połówkami uzwojenia wtórnego. Należy jednak uważać, aby przy łączeniu obu części uzwojenia wtórnego został zachowany ten sam kierunek zwojów, a więc, aby koniec uzwojenia znajdującego się przy rdzeniu połączony był z początkiem uzwojenia znajdującego się na zewnątrz. Wszystkie uzwojenia nawija się zachowując ten sam kierunek zwojów.
Na rys. 17 pokazany jest sposób łączenia uzwojeń.

Rys. 17.
Dla tych Radioamatorów, którzy nie posiadają katalogów lampowych podane zostają dane elektryczne najczęściej używanych lamp głośnikowych. Dane te posłużyć mogą do obliczania transformatorów głośnikowych.

