
Badanie próżni w lampach odbiorczych
Radioamator, Rok I, Kwiecień 1951r., Nr 4
Sprawdzenie stanu lampy polega na próbie mechaniczno-elektrycznej i badaniu na odbiór.
Próby mechaniczno-elektryczne odnoszą się przede wszystkim do sprawdzenia całości włókna i do stwierdzenia, czy pomiędzy poszczególnymi elektrodami nie ma zwarć. Następnym etapem jest pomiar napięć i prądów w przewidzianych dla danego typu lampy katalogowych warunkach pracy.
Badanie lamp skomplikowanych, takich jak tetrody, pentody, heksody, oktody bez sprawdzenia ich na odbiór okazuje się często niewystarczające; tak więc, mimo pozytywnych wyników badana lampa w odbiorniku pracuje źle, co da się stwierdzić przez porównanie jej z pracą takiego samego typu lampy, uznanej za dobrą.
Przy sprawdzeniu na odbiór badana lampa winna pracować w odbiorniku przez pewien czas nie krótszy od 30 minut.
Oprócz wymienionych prób konieczne jest także zbadanie próżni w lampie, ponieważ praktyka dostatecznie uzasadnia pogląd: zła próżnia - zła lampa.
Jak jednak zbadać próżnię istniejącą wewnątrz lampy? Oczywiście na drodze bezpośredniego pomiaru rozwiązanie tego zadania nie jest możliwe. Okazuje się, że przy złej próżni w obwodzie siatki sterującej płynie prąd siatkowy nawet wtedy, gdy stałe ujemne przedpięcie wynosi więcej niż 1.5 wolta (jak wiadomo w lampach o dobrej próżni prąd ten pojawia się dopiero przy napięciu około 1 wolt i rośnie, gdy napięcie zmierza do wartości dodatnich). Wobec tego prąd siatkowy pozwala sądzić o dobroci próżni w lampie.
Samą próbę przeprowadza się w ten sposób, iż w normalnych warunkach elektrycznego badania lampy szeregowo z ujemnym przedpięciem włącza się w obwód siatkowy wysokoomowy opór, dający się zwierać podczas pracy lampy. Jeśli posiada ona złą próżnię, w obwodzie siatki płynie prąd, dzięki któremu na włączonym oporze powstaje spadek napięcia. Stałe przedpięcie maleje o ów spadek, wobec czego prąd anodowy rośnie.

Rys. 1.
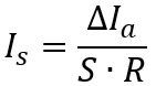
Zmiany prądu anodowego podczas zwierania i rozwierania oporu "R" wskazują złą próżnię w lampie. Miarą dobroci próżni jest wielkość prądu siatkowego "Is" w mikroamperach, którego wartość - obliczona z zależności':

gdzie: "ΔIs" jest zmianą prądu anodowego w miliamperach, "S" - nachyleniem charakterystyki w miliamperach na wolt, "R" - oporem siatkowym w omach (dla lamp głośnikowych 0.6MΩ) - nie powinna przekraczać jednego mikroampera.