
Układy wejściowa wzmacniaczy push-pull
RADIO Miesięcznik dla techników i amatorów, Rok III, Maj - Czerwiec 1948, Nr 5/6
Łączenie "przeciwsobne" lamp ostatniego stopnia wzmacniaczy stosuje się wszędzie tam, gdzie moc akustyczna przekracza cyfrę rzędu 10 watów. Najważniejszym powodem po temu jest transformator wyjściowy.

Rys. 1.
W układzie push-pull anodowy prąd stały rozpływa się w dwie strony i nie nasyca rdzenia, tak, że nie ma potrzeby dawania szczeliny w żelazie i transformator wypada dość mały, dobra charakterystyka częstotliwości jest nietrudna do osiągnięcia, a zniekształcenia są niskie. Równie ważnym argumentem jest to, że tylko push-pull daje możność lepszego wykorzystania lamp przez stosowanie "klasy B" lub bardzo popularnej "klasy AB", gdzie prąd anodowy zmienia się przy większych amplitudach. Trzecią wreszcie, lecz bynajmniej nie najmniejszą zaletą push-pull'a są zredukowane zniekształcenia.
Układ push-pull jest jednak z natury swojej bardziej skomplikowany. Dobry transformator wyjściowy jest niełatwy do wykonania, trzeba dobierać lampy parami i wyrównywać ich prądy, ale najwięcej chyba wątpliwości budzi sprawa wzbudzania siatek napięciami częstotliwości akustycznej. Najstarszym, lecz do dziś stosowanym sposobem, powiedziałoby się, naturalnym jest użycie transformatora wejściowego /9rys, 1). Wykonanie tego transformatora z wyrównaną charakterystyką częstotliwości w dużym zakresie, nie jest łatwe, a tak wykonany zajmuje dużo miejsca i powoduje duże kłopoty konstrukcyjne, zbiera szum sieciowy itd. Obecnie w większości wzmacniaczy stosuje się wzbudzanie lampowe.
Układów wzmacniaczy oporowych, nadających się do tych celów mamy kilka. Wszystkie one wykorzystują znaną właściwość lampy, tę mianowicie, że napięcie na anodzie jest odwrócone w fazie o 1800 w stosunku do napięcia siatkowego. Da się to bardzo prosto wytłumaczyć, jeśli bowiem napięcie na siatce wzrośnie, pociągnie to za sobą wzrost prądu anodowego. Zwiększony prąd anodowy daje spadek napięcia na anodzie. Odwrotnie zaś - spadek napięcia na siatce daje wzrost napięcia na anodzie. Z rys. 1 widać zaś, że lampa B otrzymuje z transformatora napięcie wzbudzające odwrócone w stosunku do lampy A.
Odwracacz fazy
Na rys. 2 widzimy najprostszy układ odwracacza fazy. Lampę końcową A napędza lampa a, zaś lampę końcową B jej lampa wzbudzająca b. Ponieważ napięcie siatki lampy b jest wzięte z napięcia anodowego lampy a, jest jasne, że napięcie oddawane z lampy b jest o 1800 przesunięte w stosunku do a, co jest pierwszym warunkiem dla lampowego układu wejściowego dla push-pull'a. Drugim warunkiem jest równość napięć anodowych lamp a i b. W tym celu należy, aby lampa b miała miała wzmocnienie równe jedności. Osiągamy to łatwo przez napędzanie jej z dzielnika napięć pobierając 1/G napięcia anodowego lampy a, gdzie jako G oznaczamy wzmocnienie zarówno lampy a, jak i lampy b. Stąd:



Rys. 2.
Oczywiście, że lampy a i b, oraz ich warunki pracy (opory anodowe i katodowe) są identyczne, bardzo często stosują lampy podwójne (6SL7, 6SN7 itp.).
Układ odwracania fazy ma jednak szereg niedobrych stron, tak, że mimo jego prostoty i łatwości obliczenia mało jest stosowany. Dwa są po temu główne powody: po pierwsze, że lampa b otrzymuje z dzielnika napięć nie tylko napięcie identyczne z wejściowym lampy a, lecz i harmoniczne, jakie ta ostatnia wyprodukuje przy wzmocnieniu. Te harmoniczne są z kolei wzmocnione przez lampę b, tak że siatka lampy B nie otrzymuje ściśle takiego samego napięcia co lampa A. Po drugie również i charakterystyka częstotliwości pozostawia dużo do życzenia. Na przykład na niskich tonach kondensator Cb jest powodem przesunięcia fazy i zmniejszenia amplitudy na siatce lampy B w stosunku do A. Na częstotliwościach wysokich ma miejsce podobne zjawisko.
Odwracacz fazy ma jednak i swoje zalety, które docenimy szczególnie, gdy przyjdzie kolej na inne układy. Oto one: duże napięcie wyjściowe, uzyskane przez to, że każda lampa zasila jedną stronę push-pull'a, wykorzystując w pełni swoją zdolność wzmacniania; dalej, że między katodą, a uziemionym włóknem nie ma dużego napięcia, ani stałego, ani zmiennego.
Katodyna
Rys. 3 podaje układ "rozdzielacza fazy", zwanego także katodyną. W anodzie i katodzie lampy napędowej znajdują się dwa jednakowe opory Ra=Rk.

Rys. 3.
Lampa A otrzymuje napięcie wzbudzające z anody, zaś lampa B z katody lampy wzbudzającej. Napięcia te są oczywiście przesunięte o pożądane 1800, jak to wynika z rys. 4, gdzie obwód anoda-katoda lampy przedstawiony jest schematycznie (E∼ jest wzmocnione napięcie anoda-katoda). Napięcia są jednakowe, jeśli Ra=Rk, przy dodatkowym warunku, że kondensator odsprzęgający Cf jest dostatecznie duży (powinien być co najmniej 8µF).

Rys. 4.
Rozpatrzmy teraz zalety i wady katodyny. Jej zasadniczy układ z dużym oporem w katodzie jest w gruncie rzeczy niepożądany; fabryki lamp stawiają ograniczenia pod tym względem, ponieważ napięcie katoda-włókno żarzenia (zazwyczaj połączone z masą) nie powinno przekraczać pewnej normy. Przeważnie górną granicą jest 20000 omów. Ponieważ przy tak małym oporze anodowym pentoda da wzmocnienie nie większe od triody, a poza tym dochodzi komplikacja z kondensatorem blokującym ekranu, więc stosujemy dla katodyny wyłącznie triody. Otrzymane napięcia zmienne są niewielkie, ponieważ muszą one dzielić się między anodę i katodę. Rys. 5 daje nam charakterystyki lampy AC2. Dla napięcia zasilania 250 woltów prowadzimy prostą 36000Ω (w anodzie i katodzie po 18000Ω - nieco poniżej granicy 20000Ω). Jako dogodny punkt pracy wybierzemy punkt 0 (prąd anodowy 3mA, ujemne napięcie siatki -4V). Szczytowe wahanie napięcia na sumie obu oporów wyniesie około 60V, na jeden opór wypadnie 30 woltów maksimum. Wystarczy to do sterowania pentod głośnikowych, lecz nie starczy dla triod, które wymagać będą jeszcze dodatkowego stopnia pobudzania w push-pull'u.

Rys. 5.
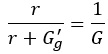
Trzeba przy tym wszystkim zwrócić baczną uwagę na to, że katodyna jest wtórnikiem katodowym i jako taka nie wzmacnia. Jej "wzmocnienie" jest poniżej jedności. Jest to najzupełniej oczywiste, jeśli przyjrzymy się rys. 3. Napięcie sterujące lampy (między siatką a katodą), stanowi różnicę między napięciem przyłożonym między X - Y, a napięciem na katodzie. Napięcie przyłożone musi być większe, niż napięcie na RK, a to przecież jest napięciem wyjściowym. Napięcie wejściowe jest większe od wyjściowego - "wzmocnienie" lampy jest mniejsze od jedności.
Oto wzór dokładny

Dla lampy o następujących danych:
- spółczynnik amplifikacji µ = 25
- oporność wewnętrzna ρ = 10 kiloomów
- opór anodowy wzgl. katod. RK = 18 kiloomów
otrzymamy ze wzoru

Cyfra ta spełnia dość dobrze dane z rys. 5. Nie należy jednak zapominać, że katodyna daje pewien zysk, ten mianowicie, że z napięcia pojedynczego otrzymujemy podwójne (mniej ca. 10%, dla ścisłości).
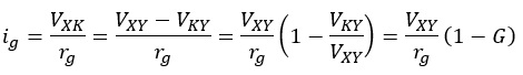
Zaletą katodyny jest to, że układ ten pracuje prawie bez zniekształceń, ponieważ posiada z natury swojej bardzo silne ujemne sprzężenie zwrotne, tak sile przecież, że wzmocnienie spada poniżej jedności. Drugą jej zaletą, choć mniejszego znaczenia, jest znaczny wzrost oporności wejściowej lampy. Wynika to z prostego faktu, że oporność wejściowa jest to stosunek napięcia wejściowego do prądu wejściowego. Obliczmy ten prąd wejściowy i, będzie on równy prądowi w oporze wpływowym siatki rg (rys. 3).

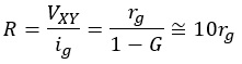
Stąd oporność wejściowa R

Kondensator wejściowy Cg może być więc tutaj 10 razy mniejszy, niż w normalnych warunkach.
Dodamy jeszcze, że pojemność wejściowa katodyny jest na podstawie analogicznego dowodu, około 10 razy mniejsza od pojemności wejściowej lampy. Ma to pewne znaczenie ponieważ w grę wchodzi trioda, której normalna pojemność wejściowa możebyć rzędu 30 do 100pF.
Jak więc widzimy, katodyna ma i zalety i wady. Jej pierwszą zaletą jest przede wszystkim niezwykła prostota, powiedziałbym nawet oczywistość układu, która spowodowała, że stosowana jest już bardzo dawno, wyprzedziła nawet wtórnik katodowy, który jest jej uproszczeniem. Wadą jej jest brak wzmocnienia oraz duże napięcie katoda-włókno.
Wtórnik anodowy
Rozpatrzmy teraz z kolei kolei układ zwany "wtórnikiem anodowym", rys. 6. Jest on zasadniczo zupełnie podobny do dzielnika fazy z rys. 2, z tą właściwie niewielką, lecz istotną różnicą, że dzielnik napięcia zasilający lampę b jest oparty na innej zasadzie, niosącej w sobie znaczny stopień ujemnego sprzężenia zwrotnego (feed-back) z jego wszystkimi zaletami.

Rys. 6.
Rozpatrzmy więc układ z rys. 6. Lampa a pracuje zupełnie normalnie i zasila wprost swoją lampę końcową A, wykorzystując swe pełne wzmocnienie (może być pentodą rodzaju AF7, 6J7 itp.). Lampa b otrzymuje swe napięcie siatkowe z dzielnika napięć, złożonego z dwu jednakowych oporów R'g i R''g. Gdyby nie było oporu R''g (równego poprzednim), pomiędzy anodą, a siatką lampy b, to otrzymywałaby ona na swą siatkę połowę napięcia anodowego lampy a - oczywiście za dużo.
Rozpatrzmy więc szczegółowo działanie Rmg. Daje on bardzo silny feed-back z anody na siatkę lampy b, zmieniając jednocześnie znacznie oporność wejściową lampy b. Oporność ta jest równoległa do R''g, jeśli więc ona spadnie, rozdział napięcia dla lampy b ulegnie zmianie, zmniejszeniu. Przypomnijmy sobie, że dążeniem naszym jest, aby lampa b miała ogólne wzmocnienie jedność, na jej siatkę powinniśmy przyłożyć więc 1/G napięcia anodowego lampy a, - gdzie G jest wzmocnieniem lampy a.
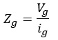
Obliczmy teraz oporność wejściową lampy b Zg; z definicji jest ona równa ilorazowi napięcia wejściowego i prądu wejściowego (rys. 7).

Rys. 7.
Wzmocnienie lampy jest to:


Napięcie między siatką, a anodą lampy jest różnicą napięć siatkowego (względem katody) i anodowego (też względem katody). Napięcie to pędzi prąd przez R'''g, a mianowicie prąd ig, który jest właśnie prądem wejściowym lampy b. Stąd:
![]()
pisząc Va = -G. Vg (uwzględniliśmy odwrócenie fazy) otrzymujemy
![]()
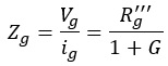
Stąd już oczywiście

Mając już oporność wejściową lampy b, możemy obliczyć jej napięcie wejściowe. Łatwo ustalić to pomagając sobie rys. 8. Napięcie anodowe z lampy a dochodzi na siatkę lampy b poprzez opór R''g. Oporność wejściowa lampy b składa się z R''g i Zg równolegle, co wyniesie:


Rys. 8.
Na lampie b będzie więc:

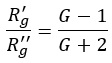
napięcia anodowego lampy a. Jak zaś wiemy powinno być 1/G tegoż napięcia. Jeśli jednak lampy a i b są pentodami o wzmocnieniu 100-200 to różnica między 1/G a 1/(G+3) będzie rzędu 1,5-3% czyli do pominięcia. Będzie to w każdym razie błąd mniejszy, niż wypadnie, uwzględniając, że opory R'g R''g R'''g nie są przecież idealnie równe w praktyce.
Jeśli dobierzemy R''g i R'''g mniej więcej równe (R''g ma mniejszy wpływ), to możemy dobrać R'g tak, aby warunek na 1/G był spełniony. Pisząc:

otrzymamy, że będzie to miało miejsce, gdy

Przy wzmocnieniu G=100, R'g powinno być mniejsze od R''g o 3%, przy G=200 - o zaledwie 1,5%. Wątpię, czy ktoś w praktyce będzie uwzględniał tak subtelne różnice (por. Dodatek), ale dobrze znać rząd wielkości zachodzących zjawisk. Łatwo zresztą można dobrać dwa opory równe, bądź różniące się o powyższy procent, tym bardziej, że ich wartość jest sama dla siebie dość obojętna. Przeważnie stosują opory rzędu 100-200KΩ. Opory te muszą być stosunkowo nieduże ponieważ R''g jest oporem siatkowym wspólnym dla trzech lamp (b, A i B).
"Wtórnik anodowy", zwany także obwodem "parafazowym" jest bezwątpienia najlepszym ze wszystkich układów, Jest on samo-kompensującym, wymaga tylko dwu dobranych oporów, lampa b nie wprowadza praktycznie żadnych zniekształceń ze względu na niezwykle silny feed-back. Lampa a wykorzystuje swe pełne wzmocnienie i to jako pentoda, katody są na masie. Nic więc dziwnego, że spotkamy się z nim w większości wzmacniaczy.
System Schmitt'a
Omówimy teraz oryginalny układ, t.zw. system Schmitt'a, który ma pewne cechy wspólne z katodyną, jak również i z odwracaczem fazy. Para, która dostarcza napięć dla push-pull'a składa się z lampy a (rys. 9 i 10, pracującej normalnie, lecz z dużym oporem w katodzie, czym upodabnia się do katodyny, ale z przyczyny, która stanie się dalej jasną, układ daje pewne wzmocnienie.

Rys. 9.

Rys. 10.
Anoda lampy a do starcza do push-pull'a normalnego napięcia wzmocnionego i o odwróconej fazie, jej zaś katoda, w której widzimy duży opór rK nie dostarcza napięcia wprost na push-pull, lecz napędza drugą lampę pośrednią b o "wejściu na katodę", czyli z "uziemioną siatką".
Zasadniczy układ wskazuje rys. 9; działanie jego jest proste i da się łatwo zrozumieć operując na zmianach potencjału stałego. Jeśli na przykład punkt x stanie się bardziej dodatni, niż punkt y, prąd anodowy lampy a wzrośnie i spadek napięcia na oporach Ra1 i rK zwiększy się. Z tego powodu napięcie na anodzie lampy a spadnie, z niej więc będzie wyjście ujemne, czyli odwrócone w fazie w stosunku do swego wejścia. Zwiększony spadek na rK daje na katodzie lampy b wzrost dodatni, a ponieważ siatka tej lamy jest połączona z masą, odpowiada to, jakby siatka otrzymała impuls ujemny. W konsekwencji prąd anodowy lampy b spadnie, napięcie na jej anodzie wzrośnie, dając wyjście o tej samej fazie co wejście na lampę a, lecz o odwróconej fazie w stosunku do jej anody - co jest celem każdego układu napędzającego push-pull.
Prąd zmienny w rK jest różnicą pomiędzy prądami anodowymi obu lamp. Jeśli więc ma istnieć pewien spadek napięcia na rK tak, aby stworzyć napięcie wejściowe dla lampy b - to prądy anodowe nie mogą być ściśle równe. Innymi słowy, aby wyjścia z anod były równe, opory anodowe Ra1 i Ra2 nie mogą być równe. Jeśli jednak różnica pomiędzy nimi jest niewielka (na przykład 10 - 20%), to różnica między prądami jest nieznaczna i w rezultacie rK musi być duży. Jeśli prądy anodowe będą prawie równe, to napięcia siatka - katoda obu lamp będą też prawie równe sobie i wyniosą w przybliżeniu połowę napięcia wejściowego x-y.
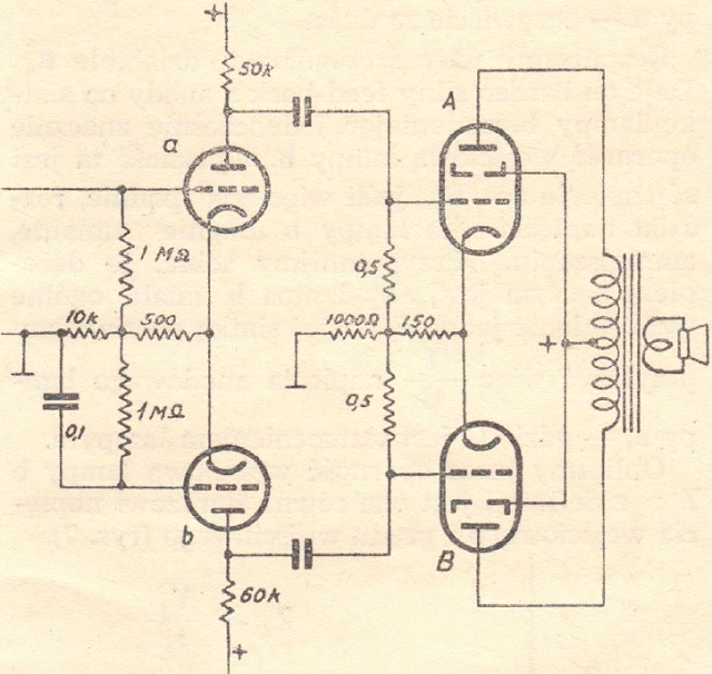
O ile jednak składowe zmienne częstotliwości akustycznej prądu w oporze katodowym VK odejmują się, to jasne jest, że składowe stałe - dodają się. Przy dużym oporze rK oznacza to, że potencjał dodatni katody jest wysoki, ze znanymi już niepożądanymi własnościami. Ponieważ jeszcze wzmocnienie wynosi około połowy normalnego, układ Schmitt'a rzadziej jest stosowany we wzmacniaczach akustycznych, jego polem zastosowania są raczej wzmacniacze telewizyjne, wzmacniacze do oscylografów katodowych, do aparatów elektromedycznych jak elektrokardiografy, elektroencefalografy i w ogóle tam, gdzie chodzi o niezniekształcone przekazywanie bardzo niskich częstotliwości i nieregularnych przebiegów.
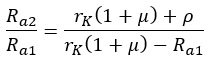
Ścisłe trzymanie się teoretycznego układu z rys. 9 dałoby zbyt wielki minus na siatkach lamp a i b, ponieważ rK jest nadmierny. We wzmacniaczach akustycznych, gdzie nie zależy na bezpośrednim sprzężeniu, stosujemy prosty i oryginalny układ z rys. 10. Ujemne napięcie dla lamp a i b dostarcza opór katodowy 500Ω poprzez opory upływowe 1MΩ, natomiast zmienne napięcie siatkowe dla lampy b tworzy się na oporach 10KΩ i 500Ω. Siatka lampy b jest uziemiona przez kondensator 0,1µF. Opory anodowe są, jak widzimy, nierówne, uwzględniono bowiem wzór

Na przykład Ra1=50KΩ, opór wewnętrzny lampy ρ=14KΩ, rK=10.5KΩ i współczynnik amplifikacji µ=32, otrzymamy

Jeśli więc Ra2 jest większy o 21% od Ra1 napięcia anodowe lamp a i b są równe.
Przy tej okazji zwracamy uwagę na opór 1000Ω w katodach lamp wyjściowych A i B. Nie służy on w tym samym celu, co w pierwszym stopniu, lecz daje silny efekt feed-back w obwodzie "równoległym" lamp, gdzie nie ma, a przynajmniej być nie powinno, częstotliwości wzmacnianej, lecz tylko harmoniczne i szumy. W ten sposób opór 1000Ω redukuje "śmieci", a nie wpływa na wzmocnienie. Nosi ten układ żartobliwą nazwę: "para z długim ogonem". Trzeba tu zaznaczyć, że ten trick nie ma nic specjalnie wspólnego z układem Schmitt'a i można go stosować w każdym stopniu push-pull, zwracając jednak uwagę, aby dopuszczalna izolacja katody nie była przekroczona.
Dodatek: Równowaga w push-pull'u
W pracy push-pull'a wiele zależy od wybalansowania układu. Przede wszystkim należy dbać o to, aby prądy spoczynku obu lamp były równe. Najlepiej do tego użyć lamp identycznych, ale, ponieważ jest to dość uciążliwe, stosuje się często opór nastawialny w katodach (rys. 11), za pomocą którego wyrównujemy prądy anodowe.

Rys. 11.
Wyrównanie to nie może iść jednak zbyt daleko i nie może zastąpić dobrania samych lamp, zwłaszcza jeśli uwzględnimy, że w wyrównaniu prądów zmiennych jesteśmy zdani już wyłącznie na dobór samych lamp. Różnica w prądach spoczynku 10% jest chyba największą, jaką można tolerować.
Wybalansowany układ push-pull eliminuje, jak wiadomo, drugą harmoniczną, a nie ma wpływu na trzecią harmoniczną. Ponieważ trzecia harmoniczna jest o wiele bardziej niemiła dla ucha, wię do niedawna stosowano w push-pull'u wyłącznie triody, które produkują niewiele trzeciej harmonicznej. Z wynalezieniem feed-back'u problem ten stracił na ostrości i obecnie widzimy przeważnie pentody w stopniach końcowych, mimo że dają one duży procent trzeciej harmonicznej. Dobrze wykonany stopień końcowy powinien jednak nie wykazywać więcej niż 203% trzeciej harmonicznej. Możemy wtedy swobodnie przyjąć, że ta sama cyfra drugiej harmonicznej nie wpływa dodatkowo ujemnie na jakość odtwarzania. Z tego z kolei określimy dopuszczalny stopień nierówności wejściowych napięć zmiennych, które są przyczyną pojawienia się drugiej harmonicznej. Dokładnego recepisu dla każdego wypadku nie da się łatwo ustalić, ponieważ w grę wchodzą tutaj krzywizny charakterystyk lamp, wysterowanie, wielkość i charakter obciążenia itd., ale obliczenia dla kilku typowych przykładów wykazują, że 10-procentową różnicę między napięciami wejściowymi można swobodnie tolerować, zaś nawet 15 i 20-procentowa różnica nie da dużo więcej drugiej harmonicznej, niż sam wzmacniacz trzeciej. Warunkiem jest wszakże to, aby lampa mocniej napędzana nie wkraczała w obszar prądu siatkowego.