
Przedstawiam nieautoryzowane tłumaczenie książki "Transformatory wyjściowe" S.N. Krizowa, które wykonałem dla własnych potrzeb. Z uwagi na fakt, że książka wydana została 60 lat temu i o ile mi wiadomo nigdy nie doczekała się polskiego tłumaczenia, więc bez naruszenia praw autorskich udostępniam moje tłumaczenie z nadzieją, że będzie ono interesującą lekturą dla osób zainteresowanych wzmacniaczami lampowymi nie znających języka rosyjskiego.
Grzegorz "gsmok" Makarewicz
Transformator wyjściowy jest prostym, ale ważnym elementem każdego odbiornika lub wzmacniacza małej częstotliwości. Od jego jakości w silnym stopniu zależy funkcjonowanie całego zestawu. Niewłaściwie zaprojektowany transformator wyjściowy może być przyczyną powstawania dużych zniekształceń, zmniejszenia mocy przekazywanej do zewnętrznego obciążenia przez lampy stopnia końcowego itd. Dlatego parametry transformatora wyjściowego powinny być wybrane w ścisłym powiązaniu z danymi obciążenia i warunkami pracy stopnia wyjściowego: jego konfiguracją, typem lamp i ich trybem pracy.
Wybór transformatora wyjściowego
Lampa stopnia końcowego odbiornika lub wzmacniacza wytwarza w obwodzie anodowym określoną moc drgań odpowiadających częstotliwości sygnału użytecznego. Moc ta, P1 zależy od amplitud prądu zmiennego I1 i napięcia zmiennego U1 występujących w obwodzie anodowym lampy i określona jest za pomocą następującego prostego wyrażenia:

W zależności od wartości napięcia stałego zasilacza anodowego Uo, amplituda napięcia zmiennego w obwodzie anodowym lampy zwykle wynosi:
dla triod:

dla pentod i tetrod strumieniowych:

W ten sposób pentody i tetrody strumieniowe charakteryzują się lepszym wykorzystaniem napięcia anodowego, co warunkuje znacznie większy współczynnik sprawności tych lamp.
Amplituda I1 składowej zmiennej prądu anodowego zależy od wartości prądu i0 odpowiadającemu zerowemu napięciu na siatce sterującej lampy (Rys. 1.) i wynosi:
dla triod:

dla pentod:


Rys. 1. Charakterystyka lampy stopnia wyjściowego
i0 - prąd anodowy przy zerowym przedpięciu siatki sterującej
Dla lamp wzmacniających małej mocy wartość I1 zwykle nie przekracza 30÷50 mA. Moc użyteczna jaką może dostarczyć lampa jest równa:
dla triody:

dla pentody lub tetrody strumieniowej:

W Tab. 1. przedstawiono podstawowe dane charakteryzujące tryb pracy obwodu anodowego niektórych typów lamp.
Tab. 1
|
Tryb pracy |
Triody stopnia mocy (stopnia końcowego) |
|||
| 2S4S | 6S2S | 6S4S | GM-57 | |
| Anodowy prąd spoczynkowy I0 [mA] | 60 | 10 | 60 | 75 |
| Napięcie zasilacza napięcia anodowego U0 [V] | 250 | 250 | 250 | 600 |
| Prąd anodowy przy zerowym przedpięciu siatki i0 [mA] | 350 | 35 | 350 | 450 |
| Amplituda napięcia zmiennego w obwodzie anodowym U1 [V] | 125 | 160 | 125 | 400 |
| Amplituda prądu zmiennego w obwodzie anodowym I1 [mA] | 50 | 8 | 50 | 60 |
| Całkowita mocy wyjściowa [W] | 3.00 | 0.32 | 3.00 | 6.00 |
| Oporność obciążenia w obwodzie anody Ra [Ω] | 2500 | 2000 | 2500 | 6500 |
| Oporność wewnętrzna Ri [Ω] | 800 | 7000 | 800 | 1500 |
|
Tryb pracy |
Pentody wyjściowe i tetrody strumieniowe |
|||
| 6F6 | 6P9 | 6P6S | 6P3S | |
| Anodowy prąd spoczynkowy I0 [mA] | 35 | 30 | 45 | 70 |
| Napięcie zasilacza napięcia anodowego U0 [V] | 250 | 300 | 250 | 300 |
| Prąd anodowy przy zerowym przedpięciu siatki i0 [mA] | 80 | 65 | 120 | 180 |
| Amplituda napięcia zmiennego w obwodzie anodowym U1 [V] | 200 | 250 | 180 | 250 |
| Amplituda prądu zmiennego w obwodzie anodowym I1 [mA] | 27 | 24 | 36 | 60 |
| Całkowita mocy wyjściowa [W] | 2.70 | 3.00 | 3.20 | 7.50 |
| Oporność obciążenia w obwodzie anody Ra [Ω] | 7400 | 10 000 | 5000 | 4100 |
| Oporność wewnętrzna Ri [Ω] | 75 000 | 130 000 | 50 000 | 25 000 |
| Napięcie na siatce ekranującej Ue [V] | 250 | 150 | 250 | 250 |
Załóżmy, że wartości amplitud napięcia i prądu w obwodzie anodowym zostały z góry ustalone. Wymaga to określenia wymaganej wartości oporności obciążenia Ra w obwodzie anodowym lampy, która powinna być równa:

Przykładowo, dla pentody 6F6 pracującej w klasie A przy napięciu anodowym U0=250V oporność obciążenia anodowego powinna być równa:

Tego samego rzędu (nie mniej niż kilka tysięcy omów) powinny również przyjmować wartości oporności obciążenia obwodów anodowych lamp wzmacniających innych typów.
Rzeczywista oporność cewki głośnika zwykle ma wartość pojedynczych omów. Tak duża różnica w wartościach oporności rzeczywistego obciążenia wzmacniacza i najkorzystniejszego obciążenia obwodu anodowego lampy stopnia wyjściowego wymusza stosowanie transformatora wyjściowego jako elementu dopasowującego. Gdyby niskoomową oporność obciążenia włączyć bezpośrednio w obwód anodowy lampy, to spowoduje to znaczne zmniejszenie mocy oddawanej przez wzmacniacz do obciążenia. Dodatkowo mogą znacznie wzrosnąć zniekształcenia nieliniowe powstające w stopniu wyjściowym.
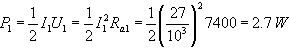
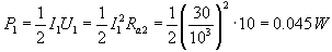
Porównajmy dla przykładu warunki pracy pentody 6F6 dla dwóch wartości oporności obciążenia obwodu anodowego: Ra1=7400Ω i Ra2=10Ω. Drugi przypadek odpowiada bezpośredniemu włączeniu niskoomowej cewki głośnika w obwód anody lampy.
Dla Ra1=7400Ω moc użyteczna oddawana przez lampę jest równa:

gdzie: I1=27mA – amplituda prądu w obwodzie anodowym lampy dla Ra1=7400Ω.
Dla Ra2=10Ω otrzymujemy:

gdzie: I1=30mA – amplituda prądu anodowego przy zwarciu obwodu anodowego.
Zatem moc użyteczna oddawana przez lampę przy niskoomowym obciążeniu maleje 60-krotnie. Jednocześnie zniekształcenia nieliniowe rosną w przybliżeniu z 5% do 10%. Oprócz tego, przy bezpośrednim włączeniu obciążenia w obwód anodowy będzie przez nie płynąć składowa stała prądu anodowego lampy, co w wielu przypadkach (np. dla cewki głośnika) jest niedopuszczalne.
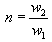
Z całkowicie inną sytuacją mamy do czynienia jeśli niskoomowe obciążenie RN zostanie podłączone przez transformator obniżający. Tego typu obciążenie jest w dalszej części opisu nazywane obciążeniem zewnętrznym. Oporność obciążenia RN’ dla średnich częstotliwości akustycznych odniesiona do uzwojenia pierwotnego transformatora jest równa:

gdzie: n - współczynnik transformacji transformatora wyjściowego równy stosunkowi liczby zwojów uzwojenia wtórnego do liczby zwojów uzwojenia pierwotnego.
Dla transformatora obniżającego n<1, co pozwala utworzyć w obwodzie anodowym oporność równą najkorzystniejszej dla danej lampy, także dla niskoomowego obciążenia podłączonego do uzwojenia wtórnego transformatora wyjściowego.
Współczynnik transformacji zapewniający zadaną oporność Ra obciążenia anodowego może być wyznaczony z następującej zależności wynikającej z wyrażenia (9):

Ponieważ zazwyczaj RN<Ra, stąd zwykle współczynnik transformacji jest mniejszy od jedności.
Konieczność zastosowania wyjściowego transformatora obniżającego, z fizycznego punktu widzenia można wyjaśnić następująco. Dla uzyskania na oporności obciążenia RN wymaganej mocy użytecznej niezbędne jest, aby przez tą oporność płynął znaczący prąd, gdyż wartość oporności RN jest niewielka. W obwodzie anodowym lampy, jak wspomniano wcześniej płynie prąd zmienny o stosunkowo niewielkiej wartości. Stosując transformator wyjściowy obniżający (n<1) można zwiększyć prąd płynący w jego uzwojeniu wtórnym w porównaniu z prądem w uzwojeniu pierwotnym. Działanie transformatora wyjściowego można więc w pewnym stopniu porównać do działania mechanicznej dźwigni, która pozwala na zwiększenie siły kosztem zmniejszenia odległości działania.
Na Rys. 2. pokazano wykresy zależności dwóch podstawowych wskaźników pracy stopnia wyjściowego: mocy użytecznej P1 i współczynnika nieliniowości γ od współczynnika transformacji n. Krzywe wyznaczono dla pentody 6F6 pracującej w następującym warunkach:
- napięcie źródła zasilania anodowego i napięcie na siatce ekranującej 250V;
- ujemne przedpięcie na siatce pierwszej 16.5V;
- amplituda sygnału na siatce pierwszej 14V;
- oporność obciążenia uzwojenia wtórnego transformatora 10Ω.

Rys. 2 Zależność mocy użytecznej P1 i współczynnika nieliniowości γ od współczynnika transformacji n transformatora wyjściowego dla pentody 6F6 przy obciążeniu RN=10Ω.
Analiza przebiegu tych krzywych pokazuje, że dla przyjętych warunków pracy najkorzystniejsza wartość współczynnika transformacji transformatora wyjściowego leży w zakresie n=0.03¸0.04, przy czym mniejsza wartość (n=0.03) daje maksimum mocy użytecznej, zaś większa wartość (n=0.04) pozwala uzyskać minimalne zniekształcenia nieliniowe. Zazwyczaj najlepiej jest wybrać wartość pośrednią np. n=0.035, co odpowiada zmniejszeniu napięcia przez transformator wyjściowy 28 razy. W tym przypadku z lampy pracującej w opisanym wyżej warunkach można uzyskać moc użyteczną około 2.4W przy zniekształceniach nieliniowych rzędu 5%.
Parametry transformatora wyjściowego
Właściwości transformatora wyjściowego charakteryzują następujące podstawowe parametry:
- współczynnik transformacji
; - indukcyjność uzwojenia pierwotnego L1;
- indukcyjność rozproszenia Lp;
- rzeczywiste oporności uzwojeń (pierwotnego r1 i wtórnego r2).
Te parametry razem z opornością wewnętrzną lampy Ri i opornością zewnętrznego obciążenia RN określają charakterystykę częstotliwościową stopnia wyjściowego. Dodatkowo znajomość wymienionych parametrów transformatora jest niezbędna do jego praktycznego wykonania, gdyż określają one dane konstrukcyjne transformatora: średnice przewodów uzwojeń, liczbę zwojów itd.
Rozpatrzmy wpływ parametrów transformatora na pracę stopnia wyjściowego. Wpływ współczynnika transformacji n na pracę stopnia był omówiony wyżej. Zajmijmy się teraz pozostałymi parametrami transformatora.
Indukcyjność uzwojenia pierwotnego utworzona przez strumień magnetyczny zwojów tworzących cewkę uzwojenia pierwotnego wpływa na zniekształcenia częstotliwościowe stopnia wyjściowego wzmacniacza w zakresie niskich częstotliwości. Aby te zniekształcenia nie przekraczały zadanej wartości, transformator powinien mieć indukcyjność uzwojenia pierwotnego L1 nie mniejszą od pewnej określonej wartości. Z dwóch transformatorów pracujących w jednakowych warunkach lepszą charakterystykę częstotliwościową dla małych częstotliwości będzie miał transformator z większą indukcyjnością uzwojenia pierwotnego.
Ponieważ zwiększenie wartości L1 można osiągnąć tylko kosztem zwiększenia wymiarów, wagi i kosztu wykonania transformatora, to przy projektowaniu transformatorów należy się kierować minimalną niezbędną indukcyjnością uzwojenia pierwotnego. Podczas pracy transformatora z rdzeniem z materiału magnetycznego indukcyjność uzwojenia pierwotnego może się zmieniać w zależności od wielkości stałego i zmiennego prądu w jego uzwojeniach. Aby uniknąć wzrostu zniekształceń częstotliwościowych powyżej dopuszczalnej wartości niezbędne jest zapewnienie zadanej wartości indukcyjności uzwojenia pierwotnego transformatora w najbardziej niekorzystnych warunkach jego pracy.
Wpływ prądu stałego w uzwojeniach transformatora na indukcyjność jego uzwojenia pierwotnego będzie rozpatrzony w dalszej części opisu.
Indukcyjność rozproszenia transformatora zależy od strumieni magnetycznych nie obejmujących jednocześnie jego obydwu uzwojeń. Te strumienie magnetyczne zamykają się poprzez powietrze a nie wnętrze rdzenia i nazywane są strumieniami rozproszenia. Główny strumień magnetyczny transformatora F12 obejmujący oba uzwojenia, a także strumienie rozproszenia F1 i F1 pokazane są na Rys. 3.

Rys. 3 Rozkład strumieni magnetycznych w transformatorze
Strumienie rozproszenia i związana z nimi indukcyjność rozproszenia stanowią przyczynę pojawienia się zniekształceń częstotliwościowych w transformatorze wyjściowym w zakresie wysokich częstotliwości. Podczas pracy wzmacniacza, w klasie B indukcyjność rozproszenia może powodować zniekształcenia nieliniowe. Dlatego indukcyjność rozproszenia Lp w transformatorach wyjściowych powinna być w miarę możliwości jak najmniejsza. Można to osiągnąć kosztem polepszenia sprzężenia magnetycznego pomiędzy uzwojeniami np. na drodze zastosowania uzwojeń składających się z naprzemiennych sekcji. Taki sposób uzwajania transformatora, mimo wynikających z niego korzyści nie zawsze się stosuje, gdyż komplikuje on konstrukcję transformatora i zwiększa koszty jego wykonania. Indukcyjność rozproszenia nie powinna przekraczać określonej wartości zależnej od przyjętej maksymalnej wartości zniekształceń. W dobrych transformatorach indukcyjność rozproszenia Lp i nie przekracza procenta wartości indukcyjności uzwojenia pierwotnego.
Rzeczywiste oporności uzwojeń transformatora wpływają na wielkość strat energii o częstotliwości akustycznej jaka w nim występuje i określają tzw. współczynnik sprawności transformatora. Należy wyraźnie podkreślić, że współczynnik sprawności zależy również od strat w rdzeniu. Jednakże w transformatorach częstotliwości akustycznych, szczególnie małej mocy wielkość strat w rdzeniu jest zawsze mała w porównaniu ze stratami w uzwojeniach. To umożliwia, przy wyznaczaniu współczynnika sprawności branie pod uwagę wyłącznie strat w uzwojeniach transformatora, zaniedbując przy tym straty w rdzeniu.
Dla lepszego wykorzystania mocy wytwarzanej przez lampy stopnia końcowego wzmacniacza zawsze dobrze jest dysponować jak transformatorem wyjściowym o jak największym współczynniku sprawności. Zwiększenie współczynnika sprawności może być osiągnięte poprzez zmniejszenia strat w uzwojeniach tzn. przez zwiększenie średnicy drutu zastosowanego podczas nawijania transformatora. To niestety nierozerwalnie wiąże się ze zwiększeniem jego wymiarów i kosztu wykonania. Podczas projektowania transformatora należy więc przyjąć kompromisową wartość współczynnika sprawności, która w jakimś stopniu spełni dwa przeciwstawne wymagania: małych strat i niskich kosztów wykonania transformatora. Praktyka pokazuje, że wartość współczynnika sprawności transformatora wyjściowego może być orientacyjnie określona na podstawie danych z Tab. 2.
Tab. 2
| Moc wyjściowa wzmacniacza Pwy, W | Do 5 | Od 5 do 100 | Ponad 100 |
| Współczynnik sprawności transformatora wyjściowego ηT | 0.7÷0.8 | >0.8÷0.9 | 0.9÷0.95 |
Znając wartość współczynnika sprawności transformatora można określić oporność rzeczywistą jego uzwojeń, a na jej podstawie średnicę drutu, którym jest nawinięty.
Zdefiniowanie parametrów transformatora wyjściowego
Dla zdefiniowania omówionych wyżej parametrów transformatora wyjściowego niezbędna jest znajomość następujących wielkości definiujących warunki pracy stopnia końcowego wzmacniacza:
- Zakres częstotliwości pracy ograniczony od dołu częstotliwością fN i od góry częstotliwością fW.
- Dopuszczalne zniekształcenia częstotliwościowe stopnia wyjściowego dla dolnej fN i górnej fW częstotliwości granicznej. Zniekształcenia częstotliwościowe charakteryzują się współczynnikami zniekształceń częstotliwościowych MN i MW, które są równe odpowiednio:

gdzie: K0 – wzmocnienie dla średnich częstotliwości
KN i KW odpowiadają oznaczeniom z Rys.4. - Dane obciążenia zewnętrznego wzmacniacza tzn. oporność rzeczywista RN i oporność indukcyjna LN.
- Najkorzystniejsza oporność obciążenia anodowego lampy stopnia wyjściowego Ra.
- Współczynnik sprawności transformatora wyjściowego ηT.

Rys. 4 Charakterystyka częstotliwościowa stopnia wyjściowego
Parametry transformatora wyjściowego można określić w następujący sposób.
Współczynnik transformacji wyznaczamy z przedstawionego wcześniej wzoru (10)

Dla układu przeciwsobnego należy podstawić podwójną wartość Ra.
Od indukcyjności L1 uzwojenia pierwotnego transformatora zależy charakterystyka częstotliwościowa stopnia wyjściowego w zakresie niskich częstotliwości. Na Rys.5. pokazane są charakterystyki częstotliwościowe dla dwóch wartości indukcyjności uzwojenia pierwotnego L1.

Rys. 5 Wpływ indukcyjności L1 uzwojenia pierwotnego transformatora wyjściowego na charakterystykę częstotliwościową
Charakterystyka odpowiadająca większej wartości L1 przebiega wyżej. Zatem, wraz ze zwiększaniem indukcyjności uzwojenia pierwotnego transformatora wyjściowego zmniejszają się zniekształcenia częstotliwościowe. Z fizycznego punktu widzenia to zjawisko wyjaśnić można tym, że przy większej wartości L1 indukcyjność uzwojenia pierwotnego w mniejszym stopniu bocznikuje obciążenie lampy. W celu określenia L1 można wykorzystać następujące wyrażenie:

gdzie: R – oporność rzeczywista w obwodzie anodowym lampy.
W przypadku, gdy w stopniu wyjściowym pracuje trioda R=Ri, zaś w przypadku pentody lub tetrody strumieniowej

Jeśli przyjąć, że fN=80Hz, MN=1.22 to wzór obliczeniowy do określenia indukcyjności uzwojenia pierwotnego transformatora wyjściowego przyjmuje postać uproszczoną:

W przypadku przeciwsobnego stopnia wyjściowego indukcyjność uzwojenia pierwotnego należy przyjąć dwa razy większą niż wynika to z zależności (11) i (12). Jeśli stopień wyjściowy objęty jest obwodem ujemnego sprzężenia zwrotnego, to wartość L1 można przyjąć w przybliżeniu dwukrotnie mniejszą.
Indukcyjność rozproszenia transformatora Lp określa charakterystykę częstotliwościową wzmacniacza w zakresie wysokich częstotliwości. Wpływ Lp na charakterystykę częstotliwościową pokazano na Rys. 6.

Rys. 6 Wpływ indukcyjności rozproszenia Lp transformatora wyjściowego na charakterystykę częstotliwościową
Przy zwiększeniu indukcyjności rozproszenia współczynnik wzmocnienia dla wyższych częstotliwości zmniejsza się i rosną zniekształcenia częstotliwościowe. Maksymalna dopuszczalna wartość indukcyjności rozproszenia transformatora wyjściowego Lp dla rzeczywistej oporności obciążenia uzwojenia wtórnego może być określona za pomocą zależności:

gdzie: fW – górna częstotliwość pasma przenoszenia
MW – współczynnik zniekształceń częstotliwościowych dla częstotliwości fW.
Jeśli przyjąć fW=6000Hz i MW=1.2, to zależność do określania indukcyjności rozproszenia przyjmuje postać uproszczoną:

Jeśli obciążenie stopnia wyjściowego ma znaczną składową indukcyjną, np. jeśli obciążeniem jest cewka głośnika dynamicznego, to dopuszczalna wartość indukcyjności rozproszenia transformatora wyjściowego jest znacznie większa od wartości otrzymanej z zależności (13) i (14). Przy obciążeniu indukcyjnym uzwojenia wtórnego, indukcyjność rozproszenia transformatora wyjściowego można określić z zależności:

gdzie: LN – indukcyjność obciążenia.
Dla głośników dynamicznych wartość LN zwykle wynosi (0.2¸1).10-3H. W przypadku układu przeciwsobnego wartość indukcyjności rozproszenia transformatora wyjściowego może być przyjęta dwa razy większa w porównaniu z wartościami wyznaczonymi za pomocą wzorów (13), (14) i (15).
Jeśli w stopniu wyjściowym wzmacniacza pracują pentody lub tetrody strumieniowe mające dużą oporność wewnętrzną (dziesiątki tysięcy omów lub więcej) to dopuszczalna indukcyjność rozproszenia okazuje się tak duża, że praktycznie każdy wykonany transformator charakteryzuje się mniejszą indukcyjnością rozproszenia. Dlatego dla stopni pracujących na pentodach lub tetrodach strumieniowych indukcyjność rozproszenia transformatora wyjściowego może nie być określana i transformator można projektować nie podejmując środków prowadzących do zmniejszania jego indukcyjności rozproszenia.
Należy jednak mieć na uwadze, że przy pracy w stopniu wyjściowym lampy z dużą opornością wewnętrzną bez ujemnego sprzężenia zwrotnego należy równolegle z uzwojeniem pierwotnym transformatora włączyć filtr korekcyjny składający się z kondensatora CK i rezystora RK tak jak to pokazano na Rys. 7. Bez takiego filtru stopień będzie wnosił niedopuszczalnie duże zniekształcenia.

Rys. 7 Schemat podłączenia układu korekcyjnego CKRK w stopniu pracującym na pentodzie lub tetrodzie strumieniowej
Dane filtru można wyznaczyć z następujących zależności:


Rzeczywiste oporności r1 i r2 uzwojeń transformatora określamy dla zadanej wartości współczynnika sprawności ze wzorów:


Jeśli przyjąć hT=0.85, to:


Zależności (18) - (21) określają maksymalne dopuszczalne rzeczywiste oporności uzwojeń transformatora. Jeśli rzeczywiste oporności uzwojeń okażą się mniejsze od wyliczonych to odbije się to korzystnie na właściwościach transformatora wyjściowego oraz zwiększy wartość jego współczynnik sprawności. W przypadku układów przeciwsobnych we wzorach (16) - (21) należy podstawić podwojoną wartość Ra.
Przykłady elektrycznego obliczania transformatorów wyjściowych
1.Obliczenie transformatora wyjściowego dla stopnia niesymetrycznego pracującego na pentodzie.
Dane:
- Dolna częstotliwość pasma przenoszenia fN=70Hz.
- Zniekształcenia częstotliwościowe w przyjętym zakresie częstotliwości nie powinny przekraczać 2dB tzn. MN<=1.26.
- Oporność zewnętrznego obciążenia RN=4Ω.
- Indukcyjność obciążenia LN=4.10-3H.
- Najkorzystniejsza oporność obciążenia anody lampy Ra=7000Ω.
- Współczynnik sprawności transformatora wyjściowego ηT=0.85.
Obliczamy współczynnik transformacji:

Indukcyjność uzwojenia pierwotnego:

gdzie: R=Ra (dla pentody)
Znajdujemy dane filtru korekcyjnego:


gdzie: przyjęto Lp=0.01L1 co zwykle ma miejsce w typowych transformatorach.
Wyznaczamy rzeczywiste oporności uzwojeń:
pierwotnego:

i wtórnego:

2.Obliczenie transformatora wyjściowego dla stopnia przeciwsobnego pracującego na triodach.
Dane:
- Zakres częstotliwości pracy fN=60Hz, fW=8000Hz.
- Zniekształcenia częstotliwościowe w zadanym przedziale częstotliwości pracy MN=MW=1.2.
- Oporność zewnętrznego obciążenia RN=10Ω.
- Oporność wewnętrzna lampy Ri=1500Ω.
- Najkorzystniejsza oporność obciążenia anodowego każdej lampy Ra=4000Ω.
- Współczynnik sprawności transformatora ηT=0.9.
Wyznaczamy współczynnik transformacji:

Indukcyjność uzwojenia pierwotnego transformatora wyjściowego:

Indukcyjność rozproszenia:

Oporności rzeczywiste uzwojeń:
uzwojenia pierwotnego:

uzwojenia wtórnego:

Obliczenia konstrukcyjne transformatorów wyjściowych
Zadaniem obliczenia konstrukcyjnego jest określenie wszystkich danych niezbędnych do wykonania transformatora, w tym wymiarów rdzenia, liczby zwojów uzwojeń, średnicy drutów nawojowych itd. Danymi wejściowymi do obliczeń konstrukcyjnych są znalezione wyżej parametry elektryczne transformatora: indukcja uzwojenia pierwotnego, indukcyjność rozproszenia, współczynnik transformacji i oporności uzwojeń transformatora.
Metodyka konstrukcyjnego obliczania transformatora zależy od trybu pracy jego obwodu magnetycznego. Występowanie prądu stałego z uzwojeniu pierwotnym tworzy stały strumień magnetyczny w rdzeniu transformatora, co znacznie zmniejsza przenikalność magnetyczną materiału rdzenia i tym samym również indukcyjność uzwojenia pierwotnego L1. Wymusza to stosowanie przy obliczaniu uzwojenia nieco innej metodyki niż dla transformatorów pracujących bez stałego strumienia magnetycznego w rdzeniu (np. w układach przeciwsobnych).
Jak wiadomo z wcześniejszego opisu, indukcyjność uzwojenia pierwotnego transformatora małej częstotliwości powinna być dostatecznie duża (rzędu kilku Henrów lub więcej). Dla uzyskania takiej indukcyjności transformatory małej częstotliwości zawsze wykorzystane są z zastosowaniem stalowego rdzenia.
Transformator składa się z następujących głównych części:
- rdzenia,
- karkasu,
- uzwojeń,
- elementów ściskających rdzeń i służących do zamocowania transformatora.
Rdzeń transformatora składa się z oddzielnych płytek o grubości od 0.2 do 0.5mm. Płytki rdzenia z jednej strony pokrywane są lakierem izolacyjnym lub oklejane cienkim papierem. Izolowanie płytek od siebie zmniejsza straty w rdzeniu spowodowane prądami wirowymi co skutkuje zwiększeniem współczynnika sprawności transformatora. Jako materiał rdzenia stosuje się przede wszystkim stal transformatorową z której wykraja się płytki o określonym kształcie (tzw. kształtki). W transformatora stosuje się dwa typy rdzeni: prętowy/rdzeniowy (lub w kształcie litery O) i opancerzony/płaszczowy (lub w kształcie litery Ш). Rdzeń prętowy pokazany jest na Rys. 8 a płaszczowy na Rys. 9.

Rys. 8 Rdzeń prętowy (typu O)
Rys. 9 Rdzeń płaszczowy (typu Ш)
W transformatorach małej częstotliwości i małej mocy najczęściej stosuje się rdzenie płaszczowe. Rdzenie prętowe stosuje się głównie w transformatorach wyjściowych większej mocy pracujących przy wysokich napięciach. Transformatory płaszczowe są prostsze w przygotowaniu, mają pojedynczą cewkę w ramach której rozmieszczone są uzwojenia transformatora. Jednakże odizolowanie uzwojeń jest tutaj trudniejsze niż w transformatorach rdzeniowych, w których uzwojenia są umieszczone w dwóch cewkach. Do montażu rdzeni płaszczowych wykorzystuje się kształtki przypominające literę Ш i dlatego rdzenie płaszczowe nazywa się rdzeniami typu Ш. W celu wyeliminowania szczeliny pomiędzy głównym listkiem w kształcie litery Ш i jego domknięciem, kształtki transformatora składane są naprzemiennie. Transformatory rdzeniowe składa się z kształtek prostokątnych. Kształtki rdzenia po złożeniu są ściskane obejmami za pomocą śrub poprowadzonych najczęściej przez otwory w kształtkach. W transformatorach małej mocy rdzeń ściskany jest czasami za pomocą metalowego wspornika, który służy jednocześnie do mocowania transformatora.
Karkas, na którym umieszczone są uzwojenia transformatora wykonywany jest zwykle z preszpanu. Karkas składa się z „rękawa” i „kołnierzy”. W celu obniżenia ceny producenci transformatorów często stosują tzw. nawijanie bezkarkasowe. Uzwojenia nawijane są na rękawie nie posiadającym kołnierzy. Pomiędzy warstwami uzwojeń umieszcza się podkładki z cienkiego papieru, których końce się skleja. Przekrój uzwojenia bezkarkasowego pokazany jest na Rys. 10.

Rys. 10 Przekrój uzwojenia bezkarkasowego
Nawijanie bezkarkasowe można stosować tylko w transformatorach o stosunkowo małych wymiarach, gdyż przy większej wysokości uzwojenia (powyżej 20...25mm) trudno uzyskać wystarczającą wytrzymałość mechaniczną cewki, ponieważ pojawia się możliwość ześlizgiwania się wierzchnich krańcowych uzwojeń.
Uzwojenia transformatora wykonuje się z drutu miedzianego w izolacji z emalii, papieru lub jedwabiu. W transformatorach małej mocy zwykle stosuje się drut emaliowany (np. ПЭЛ) jako najtańszy i zajmujący najmniej miejsca na karkasie. Druty w izolacji jedwabnej (ПШД, ПШО) a także izolacji emaliowo-jedwabnej (ПЭШД, ПШО) są stosowane przeważnie w uzwojeniach wysokiego napięcia (powyżej 1000V), gdzie istnieje duże niebezpieczeństwo przebicia międzyuzwojeniowego i gdzie pojawiają się podwyższone wymagania dotyczące odporności elektrycznej. W celu ochrony transformatora przed przebiciem pomiędzy warstwami uzwojeń rozdziela się je za pomocą przekładek z cienkiego papieru lub ceratki. W przypadku drutu w izolacji emaliowanej przekładki należy stosować dla każdej warstwy, dla pozostałych drutów co 3-5 warstw uzwojenia. W celu ochrony transformatora przed wilgocią, a także zwiększenia jego odporności elektrycznej, cewki fabrycznie produkowanych transformatorów po nawinięciu są nasycane specjalnym składnikiem np. cerezyną lub lakierem izolującym. W niektórych przypadkach po impregnacji cewki, pokrywa się ją dodatkowo powierzchniową warstwą bitumiczną, co znacznie zwiększa odporność transformatora na wilgoć.
Kolejność umieszczenia uzwojeń na karkasie transformatora nie ma zasadniczego znaczenia. Kierujemy się zwykle komfortem wykonania uzwojeń. Zwykle na dole umieszcza się uzwojenie pierwotne transformatora. Ta zasada nie jest jednak obowiązkowa. Wyprowadzenia uzwojeń wykonuje się z miękkiego przewodu wielożyłowego w dobrej izolacji. Są one łączone z końcówkami łączówek służących jednocześnie do podłączania zewnętrznych przewodów do transformatora.
Uzwojenia transformatorów przyjmują dwie postaci: cylindryczną (Rys. 11) lub dyskową (Rys. 12). Najprostszymi w wykonaniu i najczęściej stosowanymi są uzwojenia cylindryczne.

Rys. 11 Przekrój uzwojenia cylindrycznego
Rys. 12. Przekrój uzwojenia dyskowego
Obliczenia konstrukcyjne transformatorów wyjściowych dla układów niesymetrycznych
Obliczenie transformatora należy rozpocząć od wyboru typu i rozmiaru rdzenia. Czasami mamy zadany najbardziej pożądany typ kształtek rdzenia i konieczne jest jedynie określenie grubości pakietu blach.
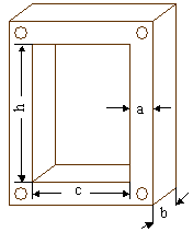
Wymagane wymiary transformatora wyjściowego zależą od jego mocy. Dla rdzenia określonego typu charakterystyczną wielkością określającą maksymalną moc transformatora jest wynik wyrażenia OsQ0, gdzie: Qs=ab – powierzchnia przekroju rdzenia i Q0=hc – powierzchnia okna, w którym umieszczone są uzwojenia (Rys. 8 i 9).
Zwiększenie powierzchni przekroju rdzenia Qs pozwala na zmniejszenie liczby zwojów transformatora przy niezmiennej wartości indukcyjności jego uzwojenia pierwotnego L1. To z kolei daje możliwość wykonania uzwojenia drutem o większej średnicy i tym samym zwiększenia wartości prądu w uzwojeniach transformatora a zatem i jego mocy. Jeśli przy tej samej powierzchni przekroju rdzenia Qs zwiększyć powierzchnię okna Q0 to takie podejście umożliwia na danym rdzeniu wykonanie transformatora większej mocy, gdyż pojawia się możliwość zwiększenia napięcia (poprzez zwiększenia liczby zwojów) lub prądu (poprzez zwiększenie średnicy drutu) w uzwojeniach transformatora.
Jeśli transformator pracuje ze stałym podmagnesowaniem, to jego rozmiary geometryczne można określić dla zadanej mocy za pomocą następującego wyrażenia:

gdzie:
- Q0 – powierzchnia okna, cm2
- Qs – powierzchnia przekroju rdzenia, cm2
- P1 – moc transformatora, W
- A – współczynnik zależny od warunków pracy stopnia wyjściowego: typu zastosowanych lamp, przyjętych wskaźników jakościowych (pasmo częstotliwości, zniekształcenia częstotliwościowe).
Dodatkowo współczynnik A silnie zależy od istnienia w układzie stopnia wyjściowego ujemnego sprzężenia zwrotnego.
Dla różnych warunków pracy stopnia wyjściowego współczynnik A można określić orientacyjnie z Tab. 3.
Tab. 3.
| Typ lampy zastosowanej w stopniu wyjściowym | Układ ideowy | A |
| Pentoda lub tetroda strumieniowa | Układ bez pętli ujemnego sprzężenia zwrotnego | 20 |
| Układ z pętlą ujemnego sprzężenia zwrotnego | 10 | |
| Trioda | Układ bez pętli ujemnego sprzężenia zwrotnego | 10 |
| Układ z pętlą ujemnego sprzężenia zwrotnego | 5 |
Przykładowo, jeśli w stopniu wyjściowym wzmacniacza pracuje trioda i w układzie nie zastosowano ujemnego sprzężenia zwrotnego to dla mocy P1=3W wynik QoQs powinien wynosić nie mniej niż 30cm4. Można więc tutaj wykorzystać rdzeń posiadający powierzchnię przekroju rdzenia Qs=3cm2 przy powierzchni okna Qo=10cm2 lub z tym samym wynikiem można zastosować rdzeń posiadający Qs=6cm2 i Qo=5cm2.
Przy wyborze zależności pomiędzy powierzchniami przekroju rdzenia i okna, przy zadanej wartości wyrażenia QoQs należy mieć na względzie, że zwiększenie Qo wymaga większego zużycia drutu przy nawijaniu transformatora, zaś zwiększenie Qs wymaga większej ilości stali transformatorowej. W większości przypadków celowe jest wybranie wielkości Qo i Qs w przybliżeniu równych sobie. W Tab. 4. przedstawione są podstawowe dane niektórych typów rdzeni płaszczowych.
Tab. 4
| Typ rdzenia | a cm |
b cm |
c cm |
h cm |
Qs cm2 |
Qo cm2 |
OsQo cm4 |
lo cm |
ls cm |
Vs cm3 |
Moc P1 [W] | |
| Układ SE | Układ PP | |||||||||||
| Ш-11 | 1.1 | 1.0 | 1.15 | 3.4 | 1.1 | 3.9 | 4.3 | 6.0 | 10 | 11 | 0.2 | 0.8 |
| 1.1 | 2.0 | 1.15 | 3.4 | 2.2 | 3.9 | 8.6 | 9.0 | 10 | 22 | 0.4 | 1.6 | |
| Ш-15 | 1.5 | 1.5 | 1.35 | 2.4 | 2.25 | 3.24 | 7.3 | 10.0 | 11 | 25 | 0.35 | 1.0 |
| 1.5 | 3.0 | 1.35 | 2.4 | 4.5 | 3.24 | 14.6 | 13.0 | 11 | 50 | 0.7 | 2.0 | |
| Ш-19 | 1.9 | 2.0 | 1.7 | 4.6 | 3.8 | 7.8 | 29.6 | 13.0 | 15 | 57 | 1.5 | 7.5 |
| 1.9 | 4.0 | 1.7 | 4.6 | 7.6 | 7.8 | 59.2 | 17.0 | 15 | 144 | 3.0 | 15.0 | |
| Ш-20 | 2.0 | 2.0 | 1.0 | 3.0 | 4.0 | 3.0 | 12.0 | 13.0 | 12 | 48 | 0.6 | 1.5 |
| 2.0 | 4.0 | 1.0 | 3.0 | 8.0 | 3.0 | 24.0 | 17.0 | 12 | 96 | 1.2 | 3.0 | |
| Ш-25 | 2.5 | 2.5 | 2.5 | 6.0 | 6.2 | 15.0 | 94.0 | 17.0 | 20 | 125 | 5.0 | 35.0 |
| 2.5 | 5.0 | 2.5 | 6.0 | 12.5 | 15.0 | 188 | 22.0 | 20 | 250 | 10.0 | 70.0 | |
| Ш-30 | 3.0 | 3.0 | 1.5 | 4.5 | 9.0 | 6.7 | 61 | 18.0 | 18 | 162 | 3.0 | 10.0 |
| 3.0 | 6.0 | 1.5 | 4.5 | 18.0 | 6.7 | 122 | 24.0 | 18 | 324 | 6.0 | 20.0 | |
Po wybraniu typu rdzenia transformatora można przejść do obliczenia liczby zwojów jego uzwojeń.
Liczbę zwojów uzwojenia pierwotnego, która zapewnia zadaną indukcyjność L1 znajdujemy z wyrażenia:

gdzie:
- I0 – składowa stała prądu anodowego lampy wyjściowej, mA,
- Qs – powierzchnia przekroju rdzenia, cm2,
- ls – długość średniej linii przebiegu strumienia magnetycznego w rdzeniu, cm.
Zależność (23) daje dokładny wynik, lecz obliczenia za jej pomocą są dosyć złożone. W praktyce, gdy nie jest wymagana duża dokładność obliczeń, do wyznaczenia liczby zwojów można stosować znacznie prostszy przybliżony wzór:

gdzie: L1, I0 i Qs są tymi samymi parametrami co w wyrażeniu (23)
Liczba zwojów uzwojenia wtórnego:

Średnica drutu uzwojenia pierwotnego (w mm):

gdzie:
- l0 – średnia długość uzwojenia, cm,
- r1 – oporność rzeczywista uzwojenia pierwotnego które, jak pokazano wcześniej zdefiniowane jest przez współczynnik sprawności transformatora zgodnie z wyrażeniem (18) i (20).
W celu uniknięcia przegrzewania się uzwojenia pierwotnego transformatora niezbędne jest sprawdzenie dopuszczalnej dla znalezionej za pomocą wyrażenia (26) średnicy drutu, gęstości prądu:

gdzie: d1 – w mm, I0 w mA.
Średnica drutu w mm uzwojenia wtórnego:

W końcu określamy grubość szczeliny w rdzeniu:

gdzie: l3 w mm; I0 w A.
Na tym kończy się proces obliczania transformatora pracującego ze stałym podmagnesowaniem. Pozostaje sprawdzenie rozmieszczenia uzwojeń w oknie rdzenia.
Dla lepszego wyjaśnienia sekwencji obliczeń rozpatrzmy przykład liczbowy.
Przykład
Obliczyć transformator wyjściowy dla wzmacniacza niesymetrycznego, w którym w stopniu wyjściowym pracuje pentoda 6F6 przy mocy P1=2.5W. W układzie nie występuje ujemne sprzężenie zwrotne. Oporność cewki głośnika RN=10Ω.
1. W celu wybrania typu rdzenia znajdziemy wynik wyrażenia (22) przyjmując A=20:

2. Z Tab.4 wybieramy typ rdzenia. Najbardziej korzystnym jest rdzeń Ш-19x40, dla którego QsQ0=59.2cm4, co nieznacznie przekracza wymaganą wartość (50cm4). Przyjmując kształtkę typu Ш-19 znajdujemy minimalną grubość pakietu rdzenia (wymiar b). Przekrój rdzenia:

zaś grubość pakietu:

I tak wybieramy rdzeń Ш-19x34, dla którego

3. Z Tab.1 dla pentody typu 6F6 znajdujemy:
Najkorzystniejsza oporność obciążenia Ra=7400Ω. Składowa stała prądu anodowego (prąd spoczynkowy) I0=35mA.
4. Z zależności (12) znajdujemy indukcyjność uzwojenia pierwotnego transformatora wyjściowego:

5. Z zależności (23) wyznaczamy liczbę zwojów uzwojenia pierwotnego:

Interesującym będzie porównanie wyniku z wynikiem obliczeń wykonanych za pomocą zależności (24):

Różnica, jak widać w tym przypadku jest niewielka. Przyjmujemy wartość zaokrągloną w1=5000 zwojów.
6. Współczynnik transformacji obliczamy z zależności (8)

7. Liczba zwojów uzwojenia wtórnego

8. Oporność uzwojenia pierwotnego

gdzie przyjęliśmy, że ηT=0.8.
9. Średnica drutu uzwojenia pierwotnego

10. Zweryfikujmy d1 ze względu na gęstość prądu:

Ponieważ wyliczyliśmy, że d1=0.15mm transformator nie będzie się przegrzewał.
11. Średnica drutu uzwojenia wtórnego

Zarówno pierwotne, jak i wtórne uzwojenie wykonane zostanie drutem w izolacji z emalii.
12. Określamy grubość szczeliny w rdzeniu

W rdzeniu płaszczowym szczelina składa się z dwóch przerw przecinających magnetyczny obwód transformatora, dlatego grubość przekładki powinna być dwa razy mniejsza od obliczonej wymaganej grubości szczeliny

13. Wykonujemy sprawdzenie rozmieszczenia uzwojeń.
Liczba zwojów w jednej warstwie uzwojenia pierwotnego

gdzie: d1iz=0.17 – średnica drutu uzwojenia z uwzględnieniem grubości izolacji.
Liczba warstw uzwojenia pierwotnego

Wysokość uzwojenia

Dodajmy do niej 2mm na przekładki pomiędzy warstwami (przekładki wykonane z bibułki papierosowej). Stąd całkowita wysokość uzwojenia wynosi 5.6mm, w przybliżeniu 6mm.
Liczba zwojów w warstwie uzwojenia wtórnego

Liczba warstw uzwojenia wtórnego

Wysokość (bez przekładek) uzwojenia wtórnego

Wysokość z uwzględnieniem podkładek międzywarstwowych to około 5mm. Całkowita wysokość uzwojeń przekładki pomiędzy uzwojeniem pierwotnym i wtórnym wynosi:

Wysokość karkasu ma 15mm. Zatem uzwojenia powinny się zmieścić w oknie rdzenia.
Obliczony wyżej transformator dla pentody 6F6 może zapewnić w przybliżeniu następujące parametry jakościowe:
- zniekształcenia częstotliwościowe w paśmie od 100Hz rzędu 1.5dB,
- zniekształcenia częstotliwościowe w paśmie od 50Hz rzędu 4dB,
- współczynnik sprawności (dla średnich częstotliwości) 80%
Jeżeli przyjąć mniejsze rozmiary rdzenia to zniekształcenia częstotliwościowe zwiększą się, zaś współczynnik sprawności transformatora będzie dużo niższy.
Konstrukcyjne obliczanie transformatorów wyjściowych dla układów przeciwsobnych
Transformatory wyjściowe w układach przeciwsobnych pracują bez stałego podmagnesowania rdzenia. W podobnych warunkach pracują także transformatory liniowe wykorzystywane np. w sieciach przewodowych radiowęzłowych.
Wymiary transformatorów w takim przypadku określają następujące czynniki:
a) dopuszczalne zniekształcenia nieliniowe, które zależą od maksymalnej indukcji w rdzeniu,
b) pasmo przenoszenia i dopuszczalne zniekształcenia częstotliwościowe na niskich częstotliwościach,
c) zadana wartość współczynnika sprawności.
Maksymalna indukcja w rdzeniu zależy od stosunku miedzy mocą transformatora i objętością jego obwodu magnetycznego. Jednakże w transformatorach małej mocy (do 10W) indukcja w rdzeniu przy praktycznie stosowanych rozmiarach jest niewielka. Dlatego w przypadku transformatorów wyjściowych małej mocy rozmiary geometryczne rdzenia praktycznie tylko w małym stopniu zależą od maksymalnej dopuszczalnej indukcji.
Maksymalna moc transformatora pracującego bez podmagnesowania jest związana z rozmiarami rdzenia za pomocą następującej przybliżonej zależności:

gdzie:
- P1 – moc transformatora, W;
- Q0 – powierzchnia okna, cm2;
- Qs – powierzchnia przekroju rdzenia, cm2;
- ls – średnia długość drogi strumienia magnetycznego, cm.
Zależność (29) umożliwia łatwy wybór rozmiarów rdzenia według przyjętej mocy użytecznej transformatora P1. Jeśli dany jest typ rdzenia, to niezbędną powierzchnię przekroju Qs możemy znaleźć z zależności:

W Tab. 4 podane są orientacyjne wartości mocy transformatorów pracujących bez podmagnesowania, które mogą być uzyskane dla różnych typów rdzeni.
Sprawdzenie maksymalnej indukcji B w rdzeniu transformatora można wykonać za pomocą zależności:

gdzie: Vs – objętość rdzenia = Qsls, cm3.
W celu uniknięcia znacznych zniekształceń nieliniowych w transformatorze, wartość B nie powinna przekraczać 6000÷8000Gs. Jak opisano wyżej, w przypadku transformatorów małej mocy indukcja ma mniejszą wartość od wartości maksymalnej i weryfikacja za pomocą wzoru (31) zwykle może być pominięta.
Maksymalną indukcję w rdzeniu można powiązać ze stosunkiem wymiarów danego rdzenia. Okazuje się, że indukcja B nie będzie przekraczać wartości dopuszczalnej jeśli spełniony jest warunek:

Ten warunek, jak widać z Tab.4 jest spełniony dla większości typów rdzeni.
W przypadku wzmacniaczy, w których stopnie wyjściowe objęte są pętlą ujemnego sprzężenia zwrotnego, moc transformatora wyjściowego może być przyjęta dwa razy większa od wyliczonej za pomocą wzoru (29) lub powierzchnia rdzenia może być dwukrotnie mniejsza od wartości obliczonej za pomocą wzoru (30).
Liczbę zwojów uzwojenia pierwotnego transformatora wyznaczamy następująco:

gdzie: L1 – indukcyjność uzwojenia pierwotnego obliczona na podstawie zależności (11) i (12).
Należy mieć na względzie, że dla układów przeciwsobnych jako Ra w zależnościach (11) i (12) należy podstawić podwojoną wartość oporności obciążenia anodowego jednej gałęzi. W pozostałych rozważaniach obliczanie transformatora wyjściowego dla stopnia przeciwsobnego nie różni się od przedstawionego wcześniej obliczania dla stopnia niesymetrycznego. Rdzenie transformatorów pracujących bez stałego podmagnesowania nie są wyposażone w szczelinę.
Rozpatrzmy przykład konstrukcyjnego obliczenia transformatora pracującego bez stałego podmagnesowania.
Przykład
Wyliczymy transformator wyjściowy dla stopnia przeciwsobnego, w którym pracują lampy 6P3S, po jednej w każdej gałęzi.
1. Z Tab.4 widać, że dla wzmacniacza z pętlą ujemnego sprzężenia zwrotnego przy mocy wyjściowej 20W najlepiej pasującym typem rdzenia jest rdzeń Ш-19. Znajdziemy powierzchnię przekroju rdzenia wykorzystując następujący wzór obowiązujący dla wzmacniaczy z ujemnym sprzężeniem zwrotnym:

Zatem grubość pakietu rdzenia wynosi:

2. Obliczamy maksymalną indukcje w rdzeniu:

gdzie: Vs – objętość rdzenia równa Vs=Qsls=5.15=75cm3.
Otrzymana wartość maksymalnej indukcji jest dopuszczalna.
3. Obliczamy wartość indukcyjności uzwojenia pierwotnego transformatora:

gdzie: Ra – oporność obciążenia dla jednej gałęzi, która dla lampy 6P3S wynosi 4000Ω. Istnienie sprzężenia zwrotnego pozwala dwukrotnie zmniejszyć L1, dlatego przyjmujemy L1=11H.
4. Liczba zwojów uzwojenia pierwotnego:

5. Współczynnik transformacji:

6. Liczba zwojów uzwojenia wtórnego:

7. Oporność rzeczywista uzwojenia pierwotnego:

8. Średnica drutu uzwojenia pierwotnego:

9. Sprawdzamy średnicę drutu pod kątem dopuszczalnej wartości gęstości prądu:

Ponieważ z warunku dopuszczalnej wartości gęstości prądu otrzymaliśmy większą średnicę drutu dlatego wybieramy do nawinięcia uzwojenia pierwotnego drut ПЭ0.21.
10. Średnica drutu uzwojenia wtórnego:

Tutaj w charakterze d1 stosujemy wartość znalezioną według zależności na dopuszczalną oporność rzeczywistą uzwojeń, ponieważ przez uzwojenie wtórne nie płynie prąd stały i nie ma niebezpieczeństwa jego przegrzewania się.
11. Na zakończenie sprawdzamy poprawność rozmieszczenia uzwojeń w oknie rdzenia. W przypadku transformatora dla układu przeciwsobnego celowym jest wykonanie uzwojenia na karkasie podzielonym na dwie sekcje (Rys. 13). To z jednej strony zmniejszy niebezpieczeństwo przebicia miedzy uzwojeniami uzwojenia pierwotnego, z drugiej pozwoli wykonać połówki uzwojenia pierwotnego bardziej symetrycznie. Przy takiej konstrukcji w każdej sekcji nawijamy połowę uzwojenia pierwotnego i wtórnego.

Rys. 13 Przekrój rozmieszczenia uzwojeń transformatora wyjściowego
Sprawdzamy wypełnienie sekcji:
Uzwojenie pierwotne:
Liczba zwojów w warstwie sekcji:

Liczba warstw w sekcji:

Wysokość uzwojenia bez podkładek:

Pełna wysokość uzwojenia pierwotnego:

Uzwojenie wtórne:
Liczba zwojów w warstwie sekcji:

Liczba warstw w sekcji:

Wysokość uzwojenia bez podkładek:

Grubość przekładek miedzy uzwojeniami: 2mm
Pełna wysokość uzwojenia pierwotnego:

Na Rys. 13 pokazany jest przekrój rozmieszczenia uzwojeń w oknie rdzenia, z którego wynika, że wypełnienie okna jest właściwe. Należy mieć na względzie, że wykonana analiza wypełnienia okna w tym i poprzednim przykładzie jest prawidłowa przy nawijaniu warstwowym: drut przy drucie. Przy nawijaniu masowym uzwojenia zajmują znacznie więcej miejsca i mogą się one nie zmieścić na karkasie. Zaleca się nawijanie transformatorów warstwowo co zwiększa ich wytrzymałość elektryczną i zauważalnie zmniejsza wymiary geometryczne.
Obliczony wyżej transformator przy pracy w stopniu przeciwsobnym na lampach 6P3S według schematu z pętlą ujemnego sprzężenia zwrotnego pozwala na uzyskanie następujących przybliżonych parametrów jakościowych:
- zniekształcenia częstotliwościowe w paśmie od 100Hz rzędu 1.5dB,
- zniekształcenia częstotliwościowe w paśmie od 50Hz rzędu 3.0dB,
- współczynnik sprawności (w zakresie średnich częstotliwości) 85÷90%.
Tłumaczenie: Grzegorz "gsmok" Makarewicz