Wzmacniacze z dodatnim i ujemnym sprzężeniem zwrotnym
(Tytuł oryginału: Amplifiers with Positive and Negative Feedback)
CHARLES P. BOEGLI (Product Planning Manager, Bendix Corporation, Cincinnati, Ohio)
Audio, April 1961, Vol 45, No. 4
Wbrew powszechnemu przekonaniu, autor odkrył, że inwerter fazy ze sprzężoniem katodowym (ang. “long-tailed pair”) wprowadza znaczną ilość zniekształceń. Włączając ten stopień w pętlę ujemnego sprzężenia zwrotnego, pozwala na stworzenie wzmacniacza o niezwykle małych zniekształceniach. .
Kilka lat temu autor opublikował dwa artykuły1 na temat projektowania i budowy wzmacniaczy audio wykorzystujących globalne ujemne sprzężenie zwrotne z wewnętrznym/lokalnym dodatnim sprzężeniem zwrotnym. Wzmacniacze te skonstruowało wielu czytelników i generalnym efektem była satysfakcja.
Zainteresowani szczegółami tych wzmacniaczy powinni zapoznać się z oryginalnymi artykułami. W związku z układami wiązało się kilka trudności wśród których głównymi były:
- Transformator wyjściowy nie został zaprojektowany do sposobu, w jaki był wykorzystywany.
- Uzwojenie wtórne transformatora wyjściowego było na niewielkim dodatnim stałym potencjale w odniesieniu do masy.
- Inwerter fazy (pierwszy stopień wzmacniacza) nie był włączony w pętlę ujemnego sprzężenia zwrotnego, co powodowało, że z punktu widzenia wyjścia zniekształcenia wprowadzane przez ten stopień wydawały się nie być zmniejszone.
W obu wzmacniaczach zastosowano zwykłe transformatory wyjściowe z uzwojeniami wtórnymi połączonymi w nietypowy sposób. Wyjścia głośnikowe podłączono do odczepów 0- i 16-omowych uzwojenia wtórnego, a odczep 4-omowy był uziemiony (dla prądu przemiennego), tak że wyjście zbalansowane było pobierane z transformatora przeznaczonego do pracy w układzie niezbalansowanym. Transformator wyjściowy został dokładnie określony, a ci, którzy byli na tyle nierozważni, aby skonstruować swoje wzmacniacze z innymi transformatorami, zwykle płacili karę niestabilności lub oscylacji. Przez pewien czas powód, dla którego jeden transformator działał dobrze, a drugi nie, pozostawał tajemnicą, ale sądzono, że przyczyną mogą być niezrównoważone pojemności między każdym końcem uzwojenia a masą.
Stu procentowe ujemne sprzężenie zwrotne uzyskano podłączając końce uzwojenia wtórnego bezpośrednio do katod lamp sterujących. Wewnętrzne dodatnie pozytywne sprzężenie zwrotne było przekazywane z każdej anody lampy sterującej do siatki drugiego stopnia. Przedpięcie (bias) lamp sterujących uzyskano poprzez wstawienie rezystora z bocznikiem między środkowy odczep (czyli 4-omowy odczep) uzwojenia wtórnego transformatora wyjściowego a masę, tak aby całe uzwojenie wtórne miało potencjał stały równy przedpięciu katod układu sterującego. Jeśli wyjście głośnikowe zostało zwarte do obudowy wzmacniacza, polaryzacja była zaburzona i zwykle występowały oscylacje. Niemniej jednak linie głośnikowe zazwyczaj nie są uziemione, a to nie okazało się bardzo dużym mankamentem.
Inwerter fazy nie został włączony w pętlę ujemnego sprzężenia zwrotnego ze względu na chęć zminimalizowania liczby stopni w pętli. Do inwersji zastosowano stopień ze sprzężeniem katodowym (ang. long-tailed pair). Układ ten był powszechnie uważany za dość liniowy, więc umieszczenie go poza pętlą ujemnego sprzężenia zwrotnego nie miało powodować znacznego wzrostu zniekształceń.
Chociaż osiągi wzmacniacza były całkiem dobre, zniekształcenia okazały się nieco wyższe niż oczekiwano. Ponieważ jedynym prawdziwym źródłem zniekształceń mógł być inwerter, przeprowadzono jego szczegółowe badania, których wyniki były pod pewnymi względami zaskakujące:
- Jeśli wzmocnienie jest zdefiniowane jako całkowity sygnał wyjściowy mierzony pomiędzy anodami podzielony przez całkowity sygnał wejściowy pomiędzy siatkami, wówczas wzmocnienie inwertera ze sprzężeniem katodowym jest takie samo, jak w przypadku pojedynczej lampy pracującej w porównywalnych warunkach.
- Z powodu dużego stałego napięcia na katodach lamp, sygnał wyjściowy jest nieco ograniczony, zanim jeszcze zniekształcenia staną się nadmierne.
- Krzywa zniekształceń dla tego stopnia ma kształt typowy dla obwodu bez degeneracji, co sugeruje, że nie ma poprawy liniowości z powodu degeneracji.
Było już pewne, że inwerter jest głównym źródłem zniekształceń we wzmacniaczu. Aby zredukować to zniekształcenie, inwerter musiałby być włączony w pętlę ujemnego sprzężenia zwrotnego, ale nie było wiadomo, jaki wpływ będzie miało dodatnie sprzężenie zwrotne wokół jednego stopnia na zniekształcenia powstające we wcześniejszych stopniach. Ten brak wiedzy, w połączeniu z chęcią wyjaśnienia niestabilności występującej we wzmacniaczu przy niewielkich zmianach w niektórych podzespołach, wskazywał na potrzebę dalszych prac nad wzmacniaczami wykorzystującymi połączone sprzężenie dodatnie i ujemne.
Układy te zostały teraz dość dokładnie zbadane. Artykuł opisuje szczegółowo wykonaną pracę i opisuje wynikowy ulepszony wzmacniacz.
Analiza wzmacniaczy z ujemnym i dodatnim sprzężeniem zwrotnym
Schemat blokowy wzmacniacza wykorzystującego globalne ujemne sprzężenie zwrotne i lokalne dodatnie sprzężenie zwrotne pokazany jest na Rys. 1. Można założyć, że każdy blok wzmacniacza składa się z dowolnej liczby stopni, a G i β, które oznaczają wzmocnienie i współczynnik sprzężenia zwrotnego, można traktować w sensie ogólnym jako zmienne zespolone.

Rys. 1. Wzmacniacz z globalnym ujemnym i lokalnym dodatnim sprzężeniem zwrotnym.
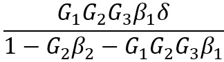
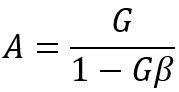
Prosta analiza pokazuje, że wzmocnienie układu wynosi:
![]() |
(1) |
W niniejszym przypadku β2 to dodatnie sprzężenie zwrotne, a β1 to ujemne sprzężenie zwrotne; gdy wartości są podstawiane do równania (1) należy użyć odpowiedniego znaku (+ dla dodatniego sprzężenia zwrotnego i – dla ujemnego sprzężenia zwrotnego).
W zwykłej analizie tego typu wzmacniaczy dodatnie sprzężenie zwrotne uważa się za tak wyregulowane, że G2β2=+1,0, tak że po usunięciu ujemnego sprzężenia zwrotnego stopień reprezentowany przez G2 po prostu oscyluje. Jeśli G2β2=+1,0 jest podstawione w równania (1), wynikowe wyrażenie ma postać:
| (2) |
Jest to wynik, który zostałby uzyskany dla zwykłego wzmacniacza ze sprzężeniem zwrotnym, gdyby jego wzmocnienie było nieskończone.
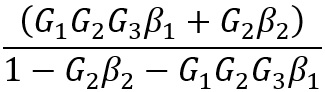
Wpływ dodatniego sprzężenia zwrotnego na zniekształcenia wprowadzane przez każdy stopień można znaleźć, zakładając zakłócające napięcie δ, które ma być podawane na wyjścia różnych stopni, i znajdując napięcie wytwarzane w tym samym punkcie za pomocą analizy podobnej do tej stosowanej do uzyskania Równania (1). Uzyskuje się następujące wyniki:
- Dla zaburzenia δ wprowadzonego na wyjściu G1 lub G3 w tym samym punkcie wytwarzane jest napięcie o wartości:

JeżeliG2ß2 jest ustawione tak, że wynosi tylko +1,0, to wyrażenie upraszcza się do –δ pokazując, że zniekształcenie wprowadzone w dowolnym miejscu, z wyjątkiem stopnia, wokół którego wprowadzane jest dodatnie sprzężenie zwrotne, jest całkowicie eliminowane. - Dla zakłócenia δ wprowadzonego na wyjściu G2 napięcie wytwarzane w tym samym punkcie ma wartość:

Jeżeli G2ß2 G2ß2 zostanie dobrane tak, aby było równe +1,0, to wyrażenie przyjmuje postać:
a gdy doda się to do wprowadzonego zakłócenia δ, suma wynosi:
co oznacza zmniejszenie zniekształceń o współczynnik równy wzmocnieniu pętli przy braku dodatniego sprzężenia zwrotnego. Wzmocnienie pętli powinno być jak największe, nawet przy zastosowaniu dodatniego sprzężenia zwrotnego, ponieważ zniekształcenia powstające w stopniu, wokół którego wprowadzane jest dodatnie sprzężenie zwrotne, są w ten sposób redukowane.
Jedną bardzo interesującą obserwację dotyczącą równania. (1) można wykonać natychmiast. Załóżmy, że wewnętrzna sieć sprzężenia zwrotnego jest faktycznie zorganizowana tak, że G2ß2=+1,0 na wszystkich częstotliwościach od zera do nieskończoności. Równanie (1) następnie upraszcza się idealnie do równania. (2); oznacza to, że ogólny zysk jest całkowicie niezależny od poszczególnych G (nawet jeśli mogą być wielkościami zespolonymi) i jest po prostu odwrotnością charakterystyki ujemnego sprzężenia zwrotnego. ß1 może jednak być utrzymywane na stałym poziomie w niezmiernie szerokim zakresie częstotliwości; oczywiście, jeśli jest to pożądane, do częstotliwości zerowej, a także do częstotliwości radiowych. Powinno być wtedy możliwe uzyskanie płaskiej i równej odpowiedzi całego wzmacniacza nawet przy wewnętrznych stopniach, a zwłaszcza transformatorze wyjściowym o bardzo słabych właściwościach. Nie pojawiłyby się żadne problemy z niestabilnością, z wyjątkiem sytuacji, gdy ß1 stałoby się zerem, co, jak widzieliśmy, może występować na częstotliwościach znacznie wyższych niż te, które są interesujące w zakresie audio. Oczywiście przy takich częstotliwościach można by podjąć dość drastyczne kroki w celu zapewnienia stabilności.
Niestety, sam problem uzyskania G2ß2=+1,0 w szerokim zakresie częstotliwości wydaje się nie do rozwiązania. Bez względu na to, jak wielkie są środki ostrożności, G2 opadnie przy wysokich częstotliwościach np. z powodu pojemności międzyelektrodowych; w rzeczywistości spadek ten pojawia się czasami na częstotliwościach uważanych za interesujące w pracy audio. Na dolnym końcu jest całkiem możliwe za pomocą sprzężenia zwrotnego, aby utrzymać G2ß2=+1,0 do wartości d.c. Wyniki takiej próby są jednak dość osobliwe.
Wartość G2ß2=+1,0 powoduje oscylację stopnia reprezentowanego przez G2 (przy braku innych czynników), więc ten stopień można na razie uznać za szerokopasmowy oscylator niedostrojony. Teraz efektem utrzymania G2ß2=+1,0 do prądu stałego. jest rozszerzenie zakresu oscylacji do prądu stałego; to znaczy, że stopień staje się oscylatorem nie tylko a.c. ale także d.c.. (Rozszerzając definicję prądu przemiennego. oscylator, to urządzenie, które będzie generować prąd stały - napięcie bez wejścia zewnętrznego). Eksperymenty wykazały, że właśnie to dzieje się z dodatnim sprzężeniem zwrotnym, a prąd stały - napięcie, które powstaje nasyca stopień, powodując, że jest on nieskuteczny we wzmacnianiu prądu przemiennego.
Na przykład typowy stopień przeciwsobny ("push-pull") z dodatnim sprzężeniem zwrotnym pokazano na rys. 2.

Rys. 2. Stopień przeciwsobny ("push-pull") z dodatnim sprzężeniem zwrotnym.
Od razu widać jego podobieństwo do multiwibratora. W rzeczywistości jedyną różnicą jest to, że dodatnie sprzężenie zwrotne jest kontrolowane w punkcie, w którym dopiero zaczyna się oscylacja, podczas gdy w multiwibratorze dodatnie sprzężenie zwrotne jest rozszerzane na prąd stały. Przez eliminację kondensatorów blokujących, stopień staje się w efekcie obwodem przerzutnikowym, który nie jest w stanie przepuścić sygnału przemiennego.
Wniosek jest oczywiście taki, że we wszystkich praktycznych przypadkach G2ß2 musi spaść przy niskich i wysokich częstotliwościach, stając się mniejsze niż +1,0. Dlatego należy przeprowadzić badanie odpowiedzi częstotliwościowej G2 z dodatnim sprzężeniem zwrotnym za pomocą sygnału zmiennego, dzięki czemu można kontrolować tę odpowiedź, aby zapobiec niestabilności wzmacniacza końcowego.
Stopnie z dodatnim sprzężeniem zwrotnym
Rozważmy wzmacniacz z dodatnim sprzężeniem zwrotnym (rys. 3) i niech ß będzie stałe z częstotliwością od zera do nieskończoności, podczas gdy G spada o 6 dB na oktawę poniżej częstotliwości ω1=1/T1 i powyżej innej częstotliwości ω2=1/T2. Wtedy ß można uznać za wielkość rzeczywistą, podczas gdy:
![]() |
(3) |
T to stałe czasowe, a s to argument przekształcenia Laplace'a.

Rys. 3. Wzmacniacz z dodatnim sprzężeniem zwrotnym.
Stosując zwykłą analizę sprzężenia zwrotnego funkcja przejścia z zamkniętą pętlą sprzężenia ma postać:
| (4) |
Teraz dokonujemy następujących podstawień: T2=T, T1=aT i Gß=K, które przekształcają równanie. (4), po rozwinięciu mianownika, na:

W typowym przypadku, gdy bierze się pod uwagę dodatnie sprzężenie zwrotne, K wynosi około 1.0, zaś a jest znacznie większe niż 1, więc jako przybliżenie możemy zastosować wzór:
![]() |
(5) |
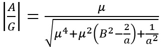
Aby znaleźć kształt charakterystyki przenoszenia, s zastępujemy przez jω i obliczana jest wielkość modułu wynikowego wyrażenia:
![]() |
(6) |
w którym B=(1-K). Ponieważ wyrażenie opisane równaniem (6), zawiera tylko wzmocnienie B2, pozostaje ono niezmienione, jeśli –B jest podstawione za +B; oznacza to, że charakterystyka przenoszenia będzie taka sama, jeśli K wynosi 0,95 lub 1,05. Fakt, że przesunięcie fazowe w obu przypadkach jest różne, nie ma znaczenia w niniejszym przypadku.
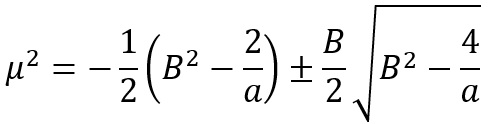
Teraz, gdy μ≠0, wzmocnienie opisane równaniem (6) zbliża się do nieskończoności, gdy mianownik wyrażenia zbliża się do zera. Aby znaleźć wartość, jaką musi mieć B, aby wzmocnienie było nieskończone dla określonej częstotliwości, ustawiamy mianownik na zero i otrzymujemy:

które jest rzeczywiste i dodatnie tylko gdy B=0, lub μ2=1/a.
Innymi słowy, gdy dodatnie sprzężenie zwrotne jest prowadzone wokół wzmacniacza i regulowane tak, że oscylacja dopiero się zaczyna, oscylacja ta występuje na jednej częstotliwości znajdującej się na średniej geometrycznej tych, które są reprezentowane przez dwie stałe czasowe wzmacniacza. Tak więc to, co zwykle przyjmuje się za szerokopasmowy, niedostrojony oscylator, jest w rzeczywistości oscylatorem dostrojonym. Równanie (2) wyprowadzono z równania (1) przez zastąpienie G2ß2=+1,0. Jest teraz oczywiste, że ten stan i wyciągnięte z niego wnioski mogą występować tylko dla jednej częstotliwości wzmacniacza, chyba że ß2= ß2(jω)=1/G2(jω) dla więcej niż jednej częstotliwości.
Kształt charakterystyki przenoszenia dla typowego wzmacniacza z dodatnim sprzężeniem zwrotnym dobranym tak, aby K=1.0 pokazano na rys. 4.

Rys. 4. Charakterystyka przenoszenia pojedynczego stopnia z i bez dodatniego sprzężenia zwrotnego.
Charakterystyka rośnie dla:
![]()
i opada dla:
![]()
o wartość 6dB na oktawę z wyjątkiem obszaru średniej geometrycznej częstotliwości f1 i f2, w którym wzmocnienie rośnie do nieskończoności i tym samym nachylenie przebiegu także rośnie.
Można wykazać, że jeśli funkcja przenoszenia wzmacniacza ma inny kształt, na przykład tak, że odpowiedź na każdym końcu spada o 12 dB na oktawę, odpowiedź z dodatnim sprzężeniem zwrotnym pozostaje niezmieniona, z wyjątkiem obszarów w pobliżu, gdzie względne wzmocnienie wynosi jeden. Z tego powodu nie jest możliwa znacząca zmiana kształtu odpowiedzi poprzez zmianę transmitancji wzmacniacza.
Jeśli rozważymy inny przypadek, w którym charakterystyka przenoszenia wzmacniacza jest płaska od zera do nieskończonej częstotliwości, a współczynnik sprzężenia zwrotnego spada w taki sam sposób, jak założono dla wzmacniacza w pierwszym przykładzie, ogólna odpowiedź pozostaje niezmieniona, z wyjątkiem obszarów powyżej 1/T2 i poniżej 1/T1. Po raz kolejny ważna część krzywej pozostaje bez zmian.
To cenne właściwości. Używając ich właściwie, można zaprojektować wzmacniacz z ujemnym i dodatnim sprzężeniem zwrotnym, który wykazuje większą stabilność i mniejsze zniekształcenia niż można osiągnąć przy samym ujemnym sprzężeniu zwrotnym. Projekt takiego wzmacniacza został przedstawiony w następnym rozdziale.
Ogólny projekt wzmacniacza
We wzmacniaczu trójstopniowym z globalnym ujemnym sprzężeniem zwrotnym obejmującym cały układ, w tym transformator wyjściowy, oscylacje z pewnością wystąpią przy pewnej częstotliwości, w której przesunięcie fazowe pętli wynosi 180 stopni, jeśli wzmocnienie pętli przy tej częstotliwości jest równe lub większe od jedności. Problemem w projektowaniu takiego wzmacniacza zawsze było kształtowanie charakterystyki przenoszenia na skrajnych częstotliwościach pracy w taki sposób, aby wzmocnienie pętli było mniejsze niż eden, gdy przesunięcie fazowe wynosi 180 stopni. Można to osiągnąć na kilka sposobów. Jednym z nich jest wprowadzenie układu z korekcją fazy. Innym jest rozłożenie stałych czasowych stopni tak, aby dwa z nich były wyrównane do ekstremalnych częstotliwości, a trzeci miał charakterystykę przenoszenia, która stopniowo spada (6 dB na oktawę) w kierunku niskich i wysokich częstotliwości. W ten sposób przesunięcie fazowe może być utrzymywane na poziomie 90 stopni, aż wzmocnienie pętli będzie mniejsze od jedności.
Pierwsza metoda ma wadę z powodu faktu, że odpowiedź wzmacniacza audio może zależeć od charakteru obciążenia, więc obwód o stałej korekcji fazowej może działać zadowalająco dla jednego obciążenia i nie zapobiegać oscylacjom dla innego. Nie wszystkie głośniki są identyczne. Druga metoda może być wykorzystana do budowy wzmacniacza całkowicie stabilnego przy dowolnym wcześniej wyznaczonym zakresie obciążeń. Dodatnie sprzężenie zwrotne to idealny sposób na zastosowanie drugiej metody do projektowania wzmacniaczy.
Etapy praktycznego projektowania całkowicie stabilnego wzmacniacza audio z globalnym ujemnym i lokalnym dodatnim sprzężeniem zwrotnym to:
- Konstruuje się wzmacniacz z co najmniej trzema stopniami (wejście, sterownik i wyjście). Globalna pętla ujemnego sprzężenia zwrotnego jest zamknięta, a wzmocnienie pętli jest regulowane (kontrolując wzmocnienie jednego ze stopni), aż wzmacniacz nie wykaże śladu niestabilności, gdy do wyjścia zostanie podłączone najgorsze pożądane obciążenie. Obciążenie to będzie generalnie składało się z rezystora o odpowiedniej wielkości zbocznikowanego kondensatorem tak dużym, jaki może wystąpić podczas użytkowania wzmacniacza.
Do stabilizacji tego wzmacniacza można zastosować niewielką korekcję fazową, ale wzmacniacz nie powinien wzbudzać się nawet przy jej braku. Stabilność można uznać za odpowiednią, gdy szczyt wysokiej częstotliwości nie jest już wyższy niż 2 dB. - Pętla dodatniego sprzężenia zwrotnego jest teraz zamknięta, a stałe czasowe obwodu sprzężenia zwrotnego są dobierane tak, aby szczyt wysokiej częstotliwości nie był wyższy niż 2 dB. (Uwagi dotyczące pików o wysokiej częstotliwości odnoszą się również do pików o niskiej częstotliwości). W tych warunkach wzmacniacz z konieczności jest nie mniej stabilny, niż w przypadku samego ujemnego sprzężenia zwrotnego.
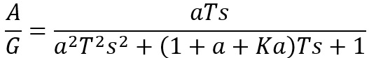
Gdy w kroku 1 wzmocnienie pętli jest wyregulowane tak aby zapobiec niestabilności, okaże się, że końcowe wzmocnienie pętli jest dość małe. W rzeczywistości, jeśli maksymalny spadek dla tonów wysokich wzmacniacza z otwartą pętlą wynosi 18 dB na oktawę, można wykazać, że wzmocnienie pętli nie może generalnie przekroczyć 1.8, zanim szczyt wysokiej częstotliwości przekroczy 2 dB. Całkowicie stabilny wzmacniacz ze sprzężeniem zwrotnym z więcej niż dwoma stopniami często musi mieć dość niskie wzmocnienie pętli. Nie nakłada to żadnych ograniczeń na wzmocnienie wzmacniacza, ponieważ jeśli G jest wzmocnieniem wzmacniacza z otwartą pętlą, a ß jest współczynnikiem sprzężenia zwrotnego, wówczas wzmocnienie pętli wynosi Gß, podczas gdy wzmocnienie wzmacniacza wynosi:

Jeśli więc iloczyn Gß ma ustaloną wartość, dowolna wartość A może nadal być uzyskana przez regulację G. Na przykład, jeśli wzmocnienie pętli jest ustawione na 1.8, całkowite wzmocnienie wyniesie 0,36G. Jeśli całkowite wzmocnienie ma wynosić 25, G musi być ustawione na około 70. Przy tak całkowicie stabilnym wzmacniaczu z ujemnym sprzężeniem zwrotnym, zniekształcenia wprowadzane w różnych stopniach będą oczywiście zredukowane tylko w niewielkim stopniu (w przykładzie przez współczynnik 2.8). Odwrotnie do tego rozumowania dochodzi się do wniosku, że wzmacniacze z ujemnym sprzężeniem zwrotnym, które mają duże wzmocnienia pętli i w których zniekształcenia są doprowadzone do niskiej wartości, są zwykle niestabilne.
To, że wprowadzenie dodatniego sprzężenia zwrotnego nie musi teraz powodować żadnej dodatkowej niestabilności, jest oczywiste i wynika z typowej krzywej przenoszenia z rys. 4. Nachylenie 6 dB na oktawę w odpowiedzi odpowiada przesunięciu fazowemu o 90 stopni, które jest niewystarczające do wywołania oscylacji. Kontrolowanie dodatniego sprzężenia zwrotnego, aby zapobiec niestabilności całego wzmacniacza, oznacza po prostu, że względne wzmocnienie pętli dodatniego sprzężenia zwrotnego musi wynosić 1 w punkcie, w którym odpowiedź wzmacniacza z ujemnym sprzężeniem zwrotnym dopiero zaczyna rosnąć z powodu przesunięcia fazowego.
Z dotychczas przedstawionych prac wynika, że przyczyną trudności z niestabilnością wcześniejszych układów wzmacniaczy był brak kontroli punktu odcięcia wysokiej częstotliwości dla obwodu o dodatnim sprzężeniu zwrotnym. Można by temu zaradzić za pomocą różnych środków, ale problem zniekształceń związany z inwerterem i tak pozostaje.
Praktyczny projekt wzmacniacza
Istnieje wiele możliwych konstrukcji wzmacniaczy zawierających zarówno ujemne, jak i dodatnie sprzężenie zwrotne. Przed przystąpieniem do określenia schematu, projektant musi ustalić podstawowe zasady, które zgodnie z jego własnym doświadczeniem i badaniami prowadzą do jego zdaniem dobrego działania układu.
Dla opisywanego wzmacniacza podstawowe zasady, które należy stosować są następujące:
- Stopień wyjściowy powinien być przeciwsobny ("push pull").
- Lampy wyjściowe powinny być sterowane przez wtórniki katodowe.
- Uzwojenie wtórny transformatora głośnikowego powinno pracować w trybie niesymetrycznym (SE).
- Sprzężenie zwrotne powinno być realizowane wyłącznie za pomocą obwodów rezystancyjnych.
- Na działanie wzmacniacza nie powinny wpływać zmiany (w rozsądnym zakresie) obciążenia i/lub impedancji źródła sygnału.
Z wyjątkiem reguły numer 4 powody większości z tych zasad są wystarczająco oczywiste. Powodem dla zasady 4 jest to, że wzmacniacze ze sprzężeniem zwrotnym są dość wrażliwe na zniekształcenia wprowadzane w punkcie wprowadzenia sprzężenia zwrotnego. Tam, gdzie sprzężenie zwrotne jest zwracane z transformatora wyjściowego do katody lampy wejściowej, nieliniowość napięcia siatki-katody pojawia się jako zniekształcenie na wyjściu wzmacniacza. Z tego powodu niniejszy wzmacniacz łączy sprzężenie zwrotne z sygnałem wejściowym w sieci rezystancyjnej.
Wykorzystując powyższe kryteria, Autor skonstruował wzmacniacz pokazany na rys. 5 według schematu z rys. 6.

Rys. 5. Widok wzmacniacza od tyłu.

Rys. 6. Schemat 50-watowego wzmacniacza mocy.
Stopień wyjściowy w układzie przeciwsobnym zbudowany jest na lampach 6CA7 o stałym przedpięciu pracujących w konfiguracji z dzielonym obciążeniem z 25-watowym transformatorem wyjściowym model Triad HSM-189. Siatki 6CA7 są bezpośrednio sprzężone z katodami 12AT7 (ze stałym przedpięciem). To połączenie eliminuje duże kondensatory sprzęgające, które w innym przypadku byłyby wymagane dla lamp 6CA7 ze względu na niską dopuszczalną rezystancję w obwodzie siatek. Zmniejsza ono również obciążenie inwertera fazy, umożliwiając jego pracę z minimalnymi zniekształceniami.
Inwerter fazy jest bezpośrednio sprzężony z poprzednim stopniem wzmacniacza. Sprzężenie zwrotne jest doprowadzane do siatki stopnia wzmacniacza z dwóch źródeł: ujemne sprzężenie zwrotne z uzwojenia wtórnego transformatora wyjściowego przez precyzyjny rezystor 1 megaom oraz dodatnie sprzężenie zwrotne przez kondensator 0,047 mfd z 5-megahmowego regulatora zbocznikowanego przez anody inwertera fazowego. Precyzyjny rezystor 40000 omów połączony szeregowo z siatką wejściową wzmacniacza uzupełnia obwód sprzężenia zwrotnego.
Wpływ zmian impedancji źródła sygnału na sprzężenie zwrotne jest eliminowany przez stopień wejściowy wtórnika katodowego, który znajduje się poza obiema pętlami sprzężenia zwrotnego. Rezystor katodowy jest dołączony do dobrze przefiltrowanego ujemnego napięcia, a nie do masy, co pozwala na zastosowanie dużego rezystora katodowego i minimalizuje zniekształcenia tego stopnia.
Dodatnie sprzężenie zwrotne jest początkowo ustawiane przez przerwanie pętli ujemnego sprzężenia zwrotnego i regulację potencjometrem 5 megaomów, aż kombinacja wzmacniacz-inwerter zacznie oscylować. Przełącznik przyciskowy łączy żarówkę neonową z jednej anody inwertera fazy do drugiej, a jednocześnie odłącza lampy wyjściowe, aby zapobiec uszkodzeniu tych lamp i głośnika podczas regulacji dodatniego sprzężenia zwrotnego.
Układ eksperymentalny wykorzystuje 50-omową regulację w obwodach katodowych lamp wyjściowych do równoważenia prądu katody. Równoważenie ułatwiają dwa 100-ma mierniki włożone na stałe w obwód. Regulacja stałej polaryzacji umożliwia zmianę prądów katodowych 6CA7 w zakresie od około 20 do 60 miliamperów.
Z wyjątkiem dodatniego sprzężenia zwrotnego, nie podejmuje się żadnych szczególnych starań, aby osiągnąć wysokie wzmocnienie na żadnym ze stopni wzmacniacza. Przeciwnie; brak kondensatora bocznikującego rezystor katodowy wzmacniacza niesymetrycznego zapewnia niskie wzmocnienie.
Zasilacz układu jest konwencjonalny. Wykorzystuje prostownik 5V4 z minimalnym filtrowaniem R-C. Ujemne napięcie o stałej polaryzacji jest uzyskiwane z 70-woltowego odczepu transformatora przez prostownik krzemowy i filtr RC. Stwierdzono, że konieczne jest filtrowanie C-, aby zminimalizować przydźwięk na wyjściu wzmacniacza.
Regulacja i wydajność wzmacniacza
Gdy regulator dodatniego sprzężenia zwrotnego był wyśrodkowany (co skutkowało zerowym dodatnim sprzężeniem zwrotnym) i pętla ujemnego sprzężenia zwrotnego była zamknięta, pomiar charakterystyki przenoszenia na niskich i wysokich poziomach nie wykazał szczytów w zakresie wysokiej częstotliwości. Przycisk odłączający stopnie wyjściowe i wprowadzający lampę neonową do obwodu został wciśnięty, a sterowanie dodatnim sprzężeniem zwrotnym regulowano tak, aż lampka neonowa wskazywała, że stopnie, wokół których połączono dodatnie sprzężenie zwrotne oscylują. Przycisk został zwolniony, lampy wyjściowe zbalansowane na 50 mA każda, a wzmacniacz został poddany eksploatacji na miesiąc, aby upewnić się, że wszystkie stopnie są odpowiednio wygrzane i ustabilizowane. Po tym okresie wzmacniacz został poddany serii testów w celu określenia jego jakości.
Zamienność lamp elektronowych
Pierwsze trzy stopnie wzmacniacza są bezpośrednio sprzężone. Można się obawiać wpływu wymiany lamp na wydajność tych stopni. Pierwszy (lampa 12AT7), który składa się z wtórnika katodowego i pierwszego stopnia wzmacniacza, znajduje się w najbardziej "czułym" miejscu. W tym stopniu wypróbowano serię siedmiu losowo wybranych 12AT7 i sprawdzono napięcia na anodach inwertera.
Stwierdzono, że zmienność napięcia anod jest duża - rzędu ±15 woltów. Początkowe ustawienie dodatniego sprzężenia zwrotnego było prawidłowe dla pięciu lamp; dla pozostałych dwóch wystarcza bardzo mała regulacja. Najwyraźniej wzmacniacz jest w stanie akceptować szeroką gamę lamp 12AT7 we wspomnianym stopniu wejściowym.
Ta sama seria lamp została wypróbowana w stopniu wtórnika katodowego. Wynikły tylko niewielkie zmiany prądu lampy wyjściowej; były one łatwo korygowane poprzez regulację potencjometru biasu.
Warto dodać, że wzmacniacz działał zadowalająco z lampami 6L6, 5881 i 350B w stopniu wyjściowym. Maksymalna moc wyjściowa jednak się zmniejszyła. Aby uzyskać zalecane prądy katodowe w tych lampach, wymagana była znaczna regulacja polaryzacji.
Charakterystyka przenoszenia
Charakterystyka częstotliwościowa wzmacniacza dla obciążenia rezystancyjnego 16 omów została zmierzona przy 4 i 16 watach. Otrzymane krzywe pokazano na rys. 7. Pokazują one, że efekt podłączenia kondensatora 0,022 μF na zaciskach wyjściowych jest znikomy.

Rys. 7. Charakterystyka częstotliwościowa wzmacniacza.
Spadek charakterystyki przy około 10 Hz został celowo wprowadzony przez kondensator wejściowy (C1 na rys. 6). Bez tego kondensatora wzmacniacz miał tendencję do utrzymywania płaskiej charakterystyki przenoszenia aż do prądu stałego. Ponieważ transformator wyjściowy nie był w stanie poradzić sobie z ekstremalnie niskimi częstotliwościami, wzmacniacz miał tendencję do poważnych przeciążeń przy wahaniach przy odtwarzaniu nagrać gramofonowych z obrotami 33 1/3-rpm.
Zniekształcenia
Zniekształcenia intermodulacyjne (60 Hz i 3000 Hz, 4:1) były niemierzalne na niskich poziomach. Wzrosły do jednego procenta przy mocy wyjściowej 52 watów rms, jak pokazano na rys. 8.

Rys. 8. Zniekształcenia intermodulacyjne w funkcji mocy wyjściowej (sygnały testowe 60 Hz and 3000 Hz, 4:1).
Najwyraźniej moc wyjściowa wzmacniacza była ograniczana przez lampy wyjściowe, a nie przez transformator wyjściowy. Ze względu na 25-watową moc transformatora wyjściowego, pasmo przenoszenia wzmacniacza jest bez wątpienia dość ograniczone przy 50-watowej mocy wyjściowej.
To, czy wymagana jest szeroka charakterystyka częstotliwościowa przy poziomach mocy, które wzmacniacz będzie musiał dostarczać w użytku domowym tylko podczas nietypowych stanów przejściowych, jest pytaniem, na które każdy musi odpowiedzieć sam. W każdym razie 50-watową charakterystykę częstotliwościową można w razie potrzeby poprawić stosując większy transformator wyjściowy od tego, który zastosowano.
Szumy i zakłócenia
Szumy na zaciskach głośnikowych wynosiły 0,01 V (=6x10-6 watów) przy zwartym wejściu. Znaczna część tego szumu pochodziła z zasilania C, które prawdopodobnie można było lepiej filtrować. Jednak nawet przy obecnym układzie szum jest niesłyszalny w odległości dwóch stóp od wysoce wydajnego głośnika.
Impedancja wyjściowa
Jak zwykle we wzmacniaczach tego typu, impedancja wyjściowa w całym słyszalnym zakresie wynosi około zero omów. Nieskończony współczynnik tłumienia przyczynia się do czystości odpowiedzi impulsowej, zapobiegając zawieszeniu i niepożądanemu ruchowi stożka głośnika.
Czułość
Sygnał wejściowy 1,1 V steruje wzmacniacz do 50 watów mocy wyjściowej, przy otwartej regulacji wzmocnienia wejściowego.
Testy odsłuchowe
Do tej pory przeprowadzono testy słuchowe na kilkunastu krytycznych słuchaczach. Chociaż testy były prowadzone osobno, większość słuchaczy używała słowa „przezroczysty”, aby opisać reprodukcję.
WYKAZ ELEMENTÓW
R1 250,000 potenciometr
R2 22,000, ½ W
R3 40,000, 5 W, drutowy
R4 220,000, ½ W
R5 6800, ½ W
R6 1 M, ½ watt
R7 150,000, ½ W
R8 5 M potencjometr
R9, R10 330,000, ½ W
R11, R12 1 M, ½ W
R13 12,000, ½ W
R14 25,000 potencjometr
R15 47,000, ½ W
R16, R17 15,000, ½ W
R18 50 potencjometr
R19 1 M, 1 W
R20, R21, R22 27,000, 2 W
R23 1000, 1 W
R24 4700, ½ W
C1 .047 μF, 400 V
C2 0.33 μF, 400 V
C3, C4 0.1 μF, 600 V
C5 .047 μF, 400 V
C6, C7, C8 40/30/30 μF, 475 WV
C9, C10, C11 20 μF, 150 WV
V1, V2, V3 12AT7
V4, V5 6CA7
V6 5V4
CR dioda, 200 PIV min., ½ amp (Sarkes-Tarzian F-2 or equiv.)
T1 transformator wyjściowy, 6600 ohms to voice coil, triad HSM-186
T2 transformator zasilający, 700 V CT, 150 mA 70 V tap, Triad HSM-241
M 0-100 mA miliamperomierz
SW d.p.d.t. przełącznik sprężynowy
NE nE-10 żarówka neonowa
1 Boegli, Charles, A 35-watt “Infinite-Feedback” Audio Amplifier, Radio and Television News, July 1954, p. 39.
Boegli, Charles, A 13-watt All-Triode “Infinite-Feedback” Amplifier, Radio and Television News, November 1955, p. 68.



